In a First, Instrument Performs Multichannel Signal and Spectrum Analysis with Cross Correlation
With the launch of its FSWX signal and spectrum analyzer, Rohde & Schwarz debuts a new internal multipath instrument architecture with cross-correlation capabilities.
In a recent live demonstration of the FSWX analyzer conducted by Rohde & Schwarz’s Darren Tipton, we’re shown a low-noise block converter receiving a satellite signal at 11 GHz that's downconverted to 1 GHz. The demonstration has the input of the low-noise block converter to port B with the output from port A. Thanks to the FSWX’s phase-coherent receivers, both signals can be captured simultaneously to perform a direct comparison of the input and output of the block converter.
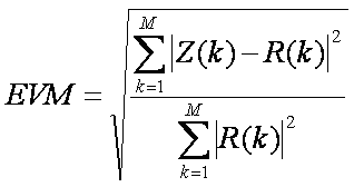
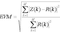
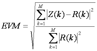
In this manner, the FSWX can perform a full device characterization of the converter. Displays provide the channel response magnitude, the channel response phase, and the group delay. From these parameters, the instrument can also calculate error-vector magnitude.
The FSWX’s cross-correlation functionality enables users to remove the instrument’s own noise from the equation. The demo shows measurement very close to the thermal noise level of the analyzer. Additionally, R&S claims that the FSWX embodies the first application of cross correlation on a full spectrum analyzer. Some 20 years ago, R&S pioneered the use of an RMS trace detector, and now it has implemented a cross-correlation trace detector to accompany it.
In the demonstration, the output of the satellite block converter is a 32-APSK modulated signal. On the instrument, the yellow trace is the RMS trace that would be seen on a typical spectrum analyzer. With the addition of cross correlation, the FSWX allows users to see other effects, such as out-of-band noise coming from the DUT that would not be apparent otherwise.
Learn more about signal analysis
About the Author
David Maliniak
Executive Editor, Microwaves & RF
I am Executive Editor of Microwaves & RF, an all-digital publication that broadly covers all aspects of wireless communications. More particularly, we're keeping a close eye on technologies in the consumer-oriented 5G, 6G, IoT, M2M, and V2X markets, in which much of the wireless market's growth will occur in this decade and beyond. I work with a great team of editors to provide engineers, developers, and technical managers with interesting and useful articles and videos on a regular basis. Check out our free newsletters to see the latest content.
You can send press releases for new products for possible coverage on the website. I am also interested in receiving contributed articles for publishing on our website. Use our contributor's packet, in which you'll find an article template and lots more useful information on how to properly prepare content for us, and send to me along with a signed release form.
About me:
In his long career in the B2B electronics-industry media, David Maliniak has held editorial roles as both generalist and specialist. As Components Editor and, later, as Editor in Chief of EE Product News, David gained breadth of experience in covering the industry at large. In serving as EDA/Test and Measurement Technology Editor at Electronic Design, he developed deep insight into those complex areas of technology. Most recently, David worked in technical marketing communications at Teledyne LeCroy, leaving to rejoin the EOEM B2B publishing world in January 2020. David earned a B.A. in journalism at New York University.





