Stub-Loaded Resonators Tune Dual-Band BPF
Wei Cheng, Xin-Huai Wang, Yong Tuo, Yan-Fu Bai, and Xiao-Wei Shi
Dual-band bandpass filters (BPFs) are useful in a variety of wireless applications for passing desired signal bands and rejecting unwanted signals over a broad bandwidth. These filters are commonly employed in wireless communications systems as a key function block.1-5 For example, in ref. 1, a dual-band BPF was created by a cascade connection of a BPF and a bandstop filter, although it was large in size. In ref. 2, dual-mode bandpass filter using stub-loaded resonators (SLRs) was designed. In ref. 3, one resonator was embedded within a second resonator to obtain two passbands. additional dual-band filters were created by using a steppedimpedance resonator (SIR), although such a design is difficult to implement because of the dependency of the SIR's resonant frequencies.4,5 By applying modified stub-loaded resonators with wide stopbands, the current authors designed and implemented a compact dual-band filter for use in wireless-local-area-network (WLAN) applications at 2.45 and 5.80 GHz.
The dual-band BPF incorporates modified SLRs to achieve low loss in the passbands and an extended rejection bandwidth, while maintaining a relatively small circuit size on commercial circuit laminate material. Prior to designing the filter, the properties of the E-shaped stub-loaded resonators were analyzed theoretically and confirmed by full-wave electromagnetic (EM) software simulation. Both passband resonant frequencies can be tuned by means of the two resonators. Compared with the dualband filter structure described in ref. 2, these modified E-shaped SLRs feature easily controlled resonant frequencies and more degrees of freedom to modify both of them. To validate the design approach, a prototype filter was fabricated and characterized, with the measured results comparing favorably to the results from the EM simulation.
The SLRs consist of a pair of E-shaped stub-loaded resonators (ESLRs) which are meandering stub-loaded resonators as shown in Fig. 1(a), where parameters Y1, L1, Y2, L2, Y3, and L3 denote the characteristic admittances and lengths of the microstrip lines in the E-shaped structure. The open stub is shunted at the midpoint of the microstrip line. Since the ESIR is symmetrical in structure, oddand even-mode analyses can be applied to characterize it.
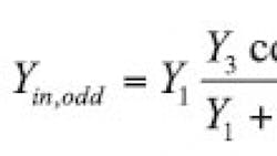
For odd-mode excitation, there is a voltage null along the middle of the ESLR. This leads to the approximate equivalent circuit of Fig. 1(b). Ignoring the discontinuity of stub L1 and stub L3, the resulting input admittance for the odd mode can be expressed as:
where:
θ1 = β1 and
θ3 = β3
which are the electrical lengths of the microstrip line. From the resonance condition of Yin,odd = 0 for the odd-mode input admittance, the odd-mode resonant frequencies can be deduced as:
For even-mode excitation, there is no current flow through the symmetrical plane of the ESLR. This leads to the approximate equivalent circuit of Fig. 1(c). Ignoring the discontinuity of stub L3 and stub L2, the resulting odd-mode input admittance can be expressed as Eq. 3, where: θ2 = β2 is the electrical length of the microstrip line. From the even-mode input admittance resonance condition of Yin,even = 0, the even-mode resonant frequencies can be deduced as Eq. 4.
According to Eqs. 2 and 4, the odd- and even-mode resonant frequencies of the proposed E-shaped SLRs can be mainly controlled by adjusting electrical lengths θ1, θ2, and θ3 and characteristic admittances Y1, Y2, and Y3. In other words, by carefully choosing parameters L1, L2, L3, W1, W2, and W3, it is possible to realize a dual-band, dual-mode filter with high performance in a small circuit size. There are more degrees of freedom to tune the odd- and even-mode resonant frequencies compared with traditional SLRs. In the current work, the odd- and even-mode resonant frequencies are adjusted by simply varying parameters θ1, θ2, and W1 to realize the proposed filter.
The odd- and even-mode resonant frequencies are plotted as functions of stub lengths L1 and L2 in Figs. 2(a) and 2(b), respectively. Figure 2(a) shows the filter's simulated S21 magnitude with W1 = 2.3 mm, W2 = 1.2 mm, L2 = 0.82 mm, W3 = 0.8 mm, L3 = 22 mm, and L1 varied. Figure 2(b) shows the filter's simulated S21 magnitude with W1 = 2.3 mm, W2 = 1.2 mm, L1 = 6 mm, W3 = 0.8 mm, L3 = 22 mm, and L2 varied. From Figs. 2(a) and 2(b), it can be seen that the simulated results are in good agreement with predictions from Eqs. 2 and 4.
According to Eqs. 2 and 4 and the analysis above, and referring to the formulas for the odd- and even-mode resonant frequencies for traditional SLRs found in ref. 2, the odd- and the even-mode resonant frequencies here may be simply modified as:
where:
fodd and feven = the odd- and even-mode resonant frequencies, respectively; p, q, r, s, and t = constants; eeff = the effective dielectric constant of the PCB substrate; and m and n = positive integers.
Owing to the coupling between the two E-shaped stub-loaded resonators, as well as the discontinuity between stubs L1 and L3 and stubs L3 and L2 of the ESLR, the odd- and even-mode resonant frequencies may be finely adjusted in the filter design. Figure 3 plots the effect of width W1 on the spurious frequencies, showing that parameter W1 plays an important role in suppressing spurious frequencies. By adjusting W1, the proposed two E-shaped SLRs can obtain a wide stopband.
In the design process, simulation and optimization were carried out using Version 11.0 of the High-Frequency Structure Simulator (HFSS) EM simulation software from Ansoft. The proposed filter was fabricated on a printed-circuit-board (PCB) substrate material with relative dielectric constant of 2.65 and thickness of 0.8 mm. Measurements on the bandpass filter were made by means of a model N5230A microwave vector network analyzer (VNA) from Agilent Technologies (www.agilent. com). The dimensions for fabricating the bandpass filter plotted in Fig. 4 were chosen as follows:
Continue on Page 2
Page Title
W = 2.25 mm, L = 4 mm, W1 = 2.3 mm, L1 = 6 mm, W2 = 1.2 mm, L2 = 0.82 mm, W3 = 0.8 mm, L3 = 22 mm, W4 = 1.6 mm, L4 = 9 mm, g = 0.2 mm, and g1 = 0.7 mm. A photograph of the proposed dual-band filter is shown in Fig. 5. The overall size of the filter is about 25 x 31.4 mm.
Measured and simulated results for the dual-band filter are plotted in Fig. 6, where notations Ms21 and Ms11 denote measured S21 and S11 parameters while notations Ss21 and Ss11 represent simulated S21 and S11 parameters. From the simulated results, the lower and upper passbands have the fractional bandwidths of 5.7% and 2.2%, respectively. The insertion losses of the lower and upper passbands are only 0.74 and 1.3 dB, respectively. In both passbands, the simulated return losses are better than 15 dB. All stopbands feature rejection levels of about 20 dB through 14 GHz.
From the measured results, the lower and upper passbands have fractional bandwidths of 6% and 3.1%, respectively. The insertion losses of the lower and upper passbands are only 0.96 dB and 1.72 dB, respectively. In both passbands, the measured return losses are better than dB. All stopbands obtain rejection levels of about 20 dB through 14 GHz. Slight deviations in performance can be observed in Fig. 6, which can be attributed to fabrication tolerance in the prototype.
In summary, the use of modified SLRs proved to be an effective means of designing and fabricating a dual-band BPF for WLAN applications, especially where small physical size is important along with an extended rejection bandwidth for suppressing unwanted signals outside of the WLAN passbands. The prototype filter that was fabricated according to the design parameters is compact, easy to design, and offers flexible degrees of freedom (ease of tunability) for achieving the desired passband frequencies. By using the odd- and even-mode resonant properties of the E-shaped resonators, the filter was constructed with passbands centered at 2.45 and 5.80 GHz and with high out-of-band rejection through 14 GHz. According to characterization of the prototype filter using a commercial microwave VNA, the measured performance levels were in good agreement with the simulated results.
Acknowledgments
This work is supported by the Fundamental Research Funds for the Central Universities, the National Science Foundation of China under Grant 60801039, and the Guangdong Province Major Science and Technology Project 2009A080207006.
References
1. L.-C.Tsai and C.-W. Huse, "Dual-band bandpass filters using equal-length coupled-serial-shunted lines and Z-transform techniques," IEEE Microwave and Wireless Components Letters, Vol. 52, No. 4, April 2004, pp. 1111-1117.
2. X.Y. Zhang, J.X. Chen, Q. Xue, and S-M Li, "Dual-Band Bandpass Filters Using Stub-Loaded Resonators," IEEE Microwave and Wireless Components Letters, Vol. 17, No. 8, August 2007, pp. 583-585.
3. C.Y. Chen, C.Y. Hsu, and H.R. Chuang, "Design of miniature planar dualband filter using dual-feeding structures and embedded resonators," IEEE Microwave and Wireless Components Letters, Vol. 16, No. 12, December 2006, pp. 669-671.
4. T.-H. Huang, H.-J. Chen, C.-S. Chang, L.-S.Chen, Y.-H. Wang, and M.-P. Houng, "A novel compact ring dual-mode filter with adjustable second-passband for dual-band applications," IEEE Microwave and Wireless Components Letters, Vol. 16, No. 6, June 2006, pp. 360-362.
5. S.-F. Chang, Y.-H. Jeng, and J.-L. Chen, "Dual-band step-impedance bandpass filter for multimode wireless LANs," IEEE Microwave and Wireless Components Letters, Vol. 40, No. 1, January 2004, pp.38-39.
