Hybrid Technique Delivers Dual-Notch UWB Antenna
This file type includes high resolution graphics and schematics when applicable.
As communications services extend across different frequency bands and standards, wideband components are required to match the performance requirements. In particular, ultrawideband (UWB) antennas are needed to avoid mounting multiple antennas into multiband systems. To meet these needs, a printed-circuit, UWB monopole antenna with dual-frequency-band notched characteristics was developed.
The dual-band frequency notches were achieved by using open-loop microstrip resonators. For miniaturization, lumped-element capacitors were added to the microstrip resonators at the locations of maximum electric field strength, helping to reduce the size of the microstrip resonators by more than 40% compared to resonators without the capacitors. The first notch is in the WiMAX band, from 3.3 to 3.7 GHz. The second notch is in the wireless-local-area-network (WLAN) range from 5.2 to 5.8 GHz.
The antenna design covers a total frequency range of 2.3 to 12.5 GHz with VSWR of less than 2.0:1, except within the two notches. For optimum performance, the effects of resonator length, position, and the value of the capacitors were explored through simulations to find the combinations yielding best broadband antenna performance.
With communications systems being driven to handle higher data rates with low power consumption and simple circuit configurations, the need for UWB antennas is self-evident.1 The Federal Communications Commission (FCC) allocated frequencies from 3.1 to 10.6 for commercial UWB communications,2 requiring antennas capable of good impedance matching across a wide frequency range, with stable radiation patterns and linear phase characteristics.3-5
To achieve these requirements, stepped impedance configurations have been suggested.6, 7 In addition, many additional wideband antenna configurations have been investigated.8-10
Monopole printed-circuit UWB antennas offer numerous benefits for wireless communications applications, including ease of fabrication, small size, and low cost. Better still, they can be built on the same printed-circuit board (PCB) as other RF/microwave components to create compact receivers. A recent challenge for UWB antenna designers has been to incorporate band notches within the full frequency range to eliminate interference from existing wireless systems, such as WiMAX and WLANs.
Such interference can degrade UWB communications performance. Various antennas with band-notched functionality have been presented employing coupled resonators,11-14 slots,15, 16 or defected ground structures.17-21
To cover the UWB bandwidth while attempting to minimize interference from such systems as WiMAX and WLANs, a microstrip-fed monopole UWB antenna was designed with dual-notch characteristics. It radiates from 2.3 to 12.5 GHz with notches at 3.3 to 3.7 GHz and 5.2 to 5.8 GHz. The resonators were reduced in size by adding lumped-element capacitors. The antenna was designed with the aid of CST Microwave Studio three-dimensional (3D) electromagnetic (EM) simulation software from Computer Simulation Technology.
Figure 1 shows the planar two-dimensional (2D) layout of the antenna, with a view of the top in Fig. 1a and a view of the bottom in Fig. 1b. The antenna features a 50-Ω microstrip feed line. The rectangular monopole antenna is designed for fabrication on RO4003 laminates from Rogers Corp. with relative permittivity of 3.38, dielectric loss tangent of 0.00027, and thickness, h, of 0.813 mm.
Figure 2 shows the simulated return-loss behavior with and without the microstrip resonator. Without the resonator, the return loss is -10 dB across the impedance bandwidth of 2.3 to 12.5 GHz. With the resonator, the return loss is more than -10 dB from 5.2 to 5.8 GHz for filtering purposes. As can be seen, the antenna design covers the UWB frequency range while reducing interference from 5.2 to 5.8 GHz (the WLAN band).
Parametric analysis was carried out for different values of coupling distance, s, to find the best coupling distance from the microstrip resonator to the feed line. Figure 3 shows simulations of difference distances. The effects of the resonator on the band notch can be seen at a distance of 0.2 mm, with return loss approach -2 dB near 6 GHz.
However, the range from 7 to 9 GHz is also affected at this spacing distance, with return loss increased slightly more than 10 dB. The effect of the resonator on the band notch decreases as the coupling distance increases. Based on the optimization process for best antenna performance (higher reflection coefficient within the notching frequency band along with lower reflection coefficient outside the notching band), a coupling distance of 0.4 mm was chosen.
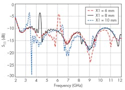
Simulations were also performed to better understand the effect of resonator length on antenna performance. It is clear that the resonator length affects the notch center frequency and bandwidth (Fig. 4). When the length of the resonator increases, the center frequency of the band notch decreases. When the length of the resonator increases, the equivalent reactive component of the resonant circuit also increases, leading to a decrease in the resonant frequency. The resonant frequency decreases from 6.2 to 3.5 GHz when the length of the microstrip resonator (X1) increases from 6 to 10 mm.
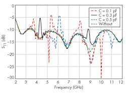
The antenna was simulated with different values of lumped-element capacitors. Figure 5 shows the effects of the lumped-element capacitors on resonant frequency. The capacitors were inserted in the microstrip resonators in the area of maximum electric field which, in a microstrip resonator, is typically concentrated at the open end of the resonator. By inserting a lumped-element capacitor in this location, the total capacitance of the resonator increases. This leads to a decrease in the resonant frequency of the notch.
As Fig. 5 shows, the notch resonant frequency decreases from 6.2 GHz without the capacitor to 3.5 GHz when a lumped-element capacitor with capacitance value from 0.1 to 0.5 pF has been added to the resonator circuit. As this demonstrates, a lumped-element capacitor can be used to shorten the length of the resonator.
Figure 6 shows a 3D layout of the dual-notch UWB antenna, with two microstrip resonators loaded with lumped-element capacitors. The smaller (higher-frequency) resonator serves for rejecting interference from 5.2 to 5.8 GHz, while the larger (lower-frequency) resonator is for rejecting interference from 3.3 to 3.7 GHz. The addition of the lumped-element capacitors was found to be an effective means of reducing the size of the resonators.
Figure 7 shows the simulated return loss of the dual-notch antenna, with simulated VSWR in Fig. 8. As can be seen, the antenna shows impedance mismatches of greater than 2.0:1 for the bands of 3.3 to 3.7 GHz and 5.2 to 5.8 GHz compared to the matched impedance VSWR of less than 2.0:1 for the remainder of the frequency range.
The surface current distribution of the dual-notch antenna is shown in Fig. 9 at 3.0, 3.5, 5.5, and 9.0 GHz. From Figs. 9a and d, it can be observed that the displayed frequencies are considered the radiating frequencies, since the surface current flows through the microstrip feed line and radiating element and isn’t concentrated at any of the resonators.
From Figs. 9b and c, the surface current appears concentrated around the larger resonator at 3.5 GHz, the center of the WiMAX band, while the smaller resonator, for 5.5 GHz or the center of the WLAN band, didn’t radiate at either of these two bands. Figure 10 shows the E- and H-plane radiation patterns are presented at 4.5, 6.5, and 9.0 GHz, with the E-pattern appearing bidirectional and the H-pattern omnidirectional.
Ahmed A. Ibrahim, Researcher
Electronic and Communication Engineering Dept., Minia University, Minia, Egypt
Mahmoud A. Abdalla, Researcher
Electronic Engineering Dept., MTC College, Cairo, Egypt
Ahmed Boutejdar, Doctor-Researcher
German Research Foundation, DFG, Braunschweig-Bonn, Germany
References
1. R.J. Fontana, “Recent system applications of short-pulse ultrawideband (UWB) technology,” IEEE Transactions of Microwave Theory & Techniques, Vol. 52, No. 9, 2004, pp. 2,087-2,104.
2. Federal Communications Commission, “Revision of Part 15 of the Commission’s rules regarding ultra-wideband transmission system from 3.1 to 10.6 GHz,” ET-Docket, Federal Communications Commission, FCC 98-153, Washington, DC, 2002.
3. B. Allen, M. Dohler, E. Okon, W. Malik, and A. Brown, “Ultra-Wideband Antennas and Propagation for Communications, Radar and Imaging,” John Wiley, New York, 2007.
4. R. Chair, A.A. Kishk, and K.F. Lee, “Ultrawide-band coplanar waveguide-fed rectangular slot antenna,” IEEE Antennas and Wireless Propagation Letters, Vol. 3, 2004, pp. 227-229.
5. J. William and R. Nakkeeran, “A compact CPW-fed UWB slot antenna with cross tuning stub,” Progress In Electromagnetics Research C, Vol. 13, 2010, pp. 159-170.
6. Ahmed M. Abdelraheem, Mahmoud A. Abdalla, Hesham A. Elregily, and A.SA. Mitkees, “Coplanar UWB antenna for high speed communication systems,” 2012 International Conference on Engineering and Technology (ICET), October 10-11, 2012, pp. 1-5.
7. R. Saleem, and A.K. Brown, “Empirical miniaturization analysis of inverse parabolic step sequence based UWB antennas,” Progress In Electromagnetics Research, Vol. 114, 2011, pp. 369-381.
8. Cengizhan M. Dikmen, Sibel Cimen, and Gonca Cakir. “Planar Octagonal-Shaped UWB Antenna With Reduced Radar Cross Section,” IEEE Transactions on Antennas and Propagation, Vol. 62, No. 6, 2014, pp. 2,946-2,953.
9. Ahmed Abdelreheem and Mahmoud Abdalla, “Compact Curved Half Circular Disc-Monopole UWB Antenna,” International Journal of Microwave and Wireless Technologies, 2015, pp. 1-8.
10. Sherif Zahran and Mahmoud Abdalla, “Novel Flexible Antenna For UWB Applications,” 2015 IEEE AP-S International Antenna and Propagation Symposium Digest, July 19-25, 2015, Vancouver, B.C., Canada, pp. 147-148.
11. Lin, Chia-Ching, Peng Jin, and Richard W. Ziolkowski, “Single, dual, and tri-band-notched ultrawideband (UWB) antennas using capacitively loaded loop (CLL) resonators,” IEEE Transactions on Antennas and Propagation, Vol. 60, No. 1, 2012, pp. 102-109.
12. T. Li, H. Zhai, G. Li, L. Li, and C. Liang, “Compact UWB band-notched antenna design using interdigital capacitance loading loop resonator,” IEEE Antennas and Wireless Propagation Letters, Vol. 11, 2012, pp. 724-727.
13. Ahmed M. Abdelraheem, Mahmoud A. Abdalla, and M. Sharaf, “UWB-notched antenna for nearby WiMAX systems interference immunity,” 30th National Radio Science Conference (NRSC 2013), April 16-18 2013, Cairo, Egypt, pp. 123-131.
14. Y. Sung, “Triple band-notched UWB planar monopole antenna using a modified H-shaped resonator,” IEEE Transactions on Antennas and Propagation, Vol. 61, No. 2, 2013, pp. 953-957.
15. G. Yang, Q.-X. Chu, and Z.-H. Tu, “A compact band- notched UWB antenna with controllable notched bandwidths by using coupled slots,” Journal of Electromagnetic Waves and Applications, Vol. 25, No. 14, 2011, pp. 2,148-2,157.
16. Ahmed A. Ibrahim, Hesham F. A. Hamed, Mohammed Alla El-Din, Azhar Abdel-alla, and Eman Yahia, “A compact Planer UWB Antenna with Band-Notched Characteristics,” 2014 International Conference on Engineering and Technology (ICET), 2014, pp. 1-5.
17. Zhang Chaozhu, Jing Zhang, and Lin Li, “Triple band-notched UWB antenna based on SIR-DGS and fork-shaped stubs,” Electronics Letters, Vol. 50, No. 2, 2014, pp. 67-69.
18. Ahmed Boutejdar, Ahmed A. Ibrahim, and Edmund P. Burte, “A Compact Multiple Band-Notched Planar Antenna with Enhanced Bandwidth Using Parasitic Strip Lumped Capacitors and DGS-Technique,” TELKOMNIKA Indonesian Journal of Electrical Engineering, Vol. 13, No. 2 2015, pp. 203-208.
19. Ahmed Boutejdar and Wael abd ellatif, “A Novel Compact UWB Monopole Antenna with Enhanced Bandwidth Using Triangular Defected Microstrip Structure and Stepped Cut Technique,” Microwave and Optical Technology Letters, Vol. 58, No. 6, 2016, pp. 1,514-1,519.
20. Ahmed Boutejdar, Ahmed A. Ibrahim, and Edmund Burte, “ Novel Microstrip Antenna Aims at UWB Applications,” Microwaves & RF, 2015.
21. Ahmed A. Ibrahim, Mahmoud A. Abdalla, Ahmed Boutejdar; Resonator Switching Techniques for Notched UWB Antenna in Wireless Applications, IET Microwaves, Antennas & Propagation, Vol. 9, No. 13, 2015, pp.1,468-1,477.
Looking for parts? Go to SourceESB.
This file type includes high resolution graphics and schematics when applicable.












