Compare Compact UHF Antennas
M.T. Islam, Ahmed Toaha Mobashsher, and J.S. Mandeep
Smaller wireless devices demand smaller antennas. To serve the needs of ultrahigh-frequency (UHF) wireless communications devices, two compact slot antenna designs were examinednamely, a hollow central annular slot (HCAS) antenna and a spiral slot antenna (SSA). These proposed antenna designs are extremely compact, yet provide excellent electrical performance compared to larger versions and types of antennas.
Miniaturizing an antenna inevitably results in a tradeoff between size and performance since antenna electromagnetic (EM) performance is so closely tied to its size. This is especially true for UHF applications, where reducing the size of an antenna leads to smaller and lighter-weight systems, enhancing portability and minimizing EM interference with other electronic devices. Therefore it is very desirable to miniaturize the antenna in order to scale down the system size.
There are, however, many limitations inherent to using a compact antenna, since size is proportional to wavelength. One miniaturization approach is to alter the geometry of the antenna so that the electrical length of the current path is increased.1 The size of a microstrip patch antenna can be reduced by using a dielectric circuit material with high relative dielectric constant. But a high dielectric constant material may also have higher dissipation factor, resulting in degradation of gain and radiation efficiency. As a result, it is necessary to develop alternative methods for patch antenna miniaturization through structural changes in the patch.
Many antennas have been reported for UHF applications, with many efforts made at miniaturization. For example, resonant patch antennas can be miniaturized using artificial magneto dielectrics.2 Further compactness of these antennas has also been achieved through loading, using dielectrics, resistors, shorting pins, or meandering microstrip lines.3 However, such loading can result in increased loss, additional circuit complication, or added fabrication cost. Antennas for portable devices include inverted-F antennas (IFAs), planar inverted-F antennas (PIFAs), and printed planar monopole or loop antennas.4-9 But some of these antennas require large ground planes, which is an unwanted limitation for portable devices.10-12
By performing calculations on resonant slot length, two compact antennas were developed in this report for use in UHF applications. It has also been shown that antenna slots can be folded or coiled in spiral configurations to operate at lower frequencies in a low profile by maintaining almost the same slot length. The antennas were all designed for use at 920 MHz. Some impedance-matching measures were needed to optimize the antennas for use at these low frequencies. The antenna designs are promising since they don't require large ground planes for good radiation patterns.
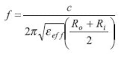
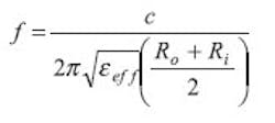
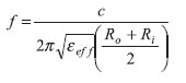
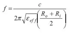
As shown in Fig. 1, a conventional annular ring slot microstrip antenna was been designed with a center frequency of 920 MHz. It was designed on FR-4 circuit-board material with relative dielectric constant, εr, of 4.4 and loss tangent, tan δ, of 0.02 by calculating the slot length, which is primarily defined by Ro and Ri. A symmetrical external 50-Ω microstrip feedline was introduced to provide impedance matching and to excite the conventional annual ring slot. As the fundamental transverse-magnetic (TM11) mode is excited, the corresponding equation for determine the resonant frequency, f, is:
This equation is valid as long as a thin substrate is used for the annular ring antenna. The antenna dimensions are: R0 = 33 mm, Ri = 30 mm, SW = 3 mm, FW = 3 mm, FL = 16 mm, and FD = 35 mm. The overall area of this conventional antenna is limited to 70 70 mm2.
Figure 2 shows configurations for two compact microstrip slot antennas. Both are designed on low-cost FR-4 substrate, with height hs = hc =1.6 mm, er = 4.4, and δ = 0.02. The first antenna is a hollow central annular slot antenna (HCASA), which consists of an annular slot with the central portion etched out from the ground of antenna. The second is a spiral slot antenna (SSA) having an optimized spiral slot in the ground plane. Both antennas are fed by 50-Ω microstrip lines, making the antennas suitable for integration with wireless device circuit boards. The volumes of the miniature antennas are compared in Table 1.
Analysis was performed on the miniaturized antennas to better understand design and optimization processes. To better gauge the interaction of key parameters, only one parameter was changed at a time, while keeping the other parameters unchanged. For the hollow central annular slot antenna (HCASA), the mean circumference of the slot can be found from:
Applying this equation for the designed antenna yields C(θ) = 91 for θ = π/8 and r = 15.5. The length of the circular slot is approximately 0.46 λg, where λg is the wavelength at the slot at the resonant frequency. This corresponds to the miniaturized half circular antennas discussed previously. The angles for the two ends of the slots are optimized to achieve proper impedance matching for the best possible performance for the antenna. The design parameters are achieved as follows: Lc = 35, Wc = 35, Rc1 = 17, SWc = 3, SSc = 1, FWc = 3, FDc = 17.5, θ = 45.
Page Title
The spiral arm of a spiral slot antenna (SSA) can be represented as13:
r(?) = a ? + ra ,(?se)
where:
r(?) = the radial distance from the origin to the arbitrary point on the center line of the spiral;
a = the spiral constant;
? = the winding angle;
?s = the spiral start angle;
?e = the spiral end angle; and
ra = the radial distance from the origin to the initial point of the spiral line.
The mean arc length of the Archimedean spiral, C(?s, ?e), in polar coordinates between ?s and ?e, is given by Eq. 1:
From calculus, for the simplification of a variable ? representing the angle in radians starting from ? = 0 radians and wrapping counterclockwise around a pole until reaching an angle of ? = ?e radians, the spiral angle can be derived as:
so that Eq. 1 can be rewritten as Eq. 2:
where, for the proposed Archimedean spiral antenna:
?s = 1.17π and ?e = 2.56 π.
Solving Eq. 2, the length of the arc is found as 90.91 mm. This also corresponds approximately to 0.46λg, where λg is the guided wavelength at 920 MHz. This indicates that the proposed miniaturized spiral antenna slot acts like a magnetic dipole for the resonant frequency. The geometry of the antennas is defined by the following parameters: Ls = 26 mm, Ws = 26 mm, Rs1 = 11.7 mm, SWs = 3 mm, SSs = 1 mm, FWs = 3 mm, and FDc = 13 mm.
Figure 3 depicts the return losses of the proposed HCASA and SSA antennasdenoted by the solid and dashed lines, respectively. The return-loss curve shows that both proposed antennas are excited at 920 MHz. The HCAS antenna shows a −10 dB return-loss bandwidth of 16.2 MHz (913 to 929.2 MHz) while the SSA exhibits an impedance bandwidth of 11.2 MHz (913.8 to 925 MHz). Maximum return losses of −18.6 and −16.3 dB were obtained at the respective resonant frequencies of the HCASA and SSA designs. The slight degradations of bandwidth are in accordance with the well-known classical fundamental limits of electrically small antennas.14
Page Title
Figures 4(a) and 4(b) show the E- and H-plane radiation patterns for the HCASA and SSA designs at 920 MHz, with both producing omnidirectional radiation patterns. For the HCASA, the cross-polarization value in the E and H planes is below 24 dBi, while for the SSA, it increases to 15 dBi. This is due to the extremely low volume of the antenna with respect to frequency (920 MHz). As the ratio of Ws/hs increases, this results in greater surface wave to produce diffraction at the dielectric's edge, contributing to higher cross-polarization levels.15
These antenna designs can be seen to produce almost symmetrical radiation patterns. One of the significant advantages of a symmetrical radiation pattern is that the maximum power direction would always be at the boresight direction and would not shift to different directions at different frequencies. This is why these antennas are quite suitable for portable omnidirectional applications and wireless services.
Figure 5 shows the input impedance plots of the experimental HCASA and SSA designs. The input impedance curves can be seen to change smoothly over the operating frequency range. For the HCASA, the input resistance is about 10 Ω more than the SSA at resonance. However, for the SSA, the input reactance is mainly inductive. This is because of the spiral slot which acts less capacitive and provides more inductance to the antenna.
Table 2 compares some of the characteristics of the HCASA and SSA designs with respect to a conventional reference antenna. As is obvious from this comparison, the reduction factors of the compact HCASA and SSA designs are 75% and 86.2%, respectively, which makes them ideally suited for designs that require miniature antennas in the UHF range.
In summary, many wireless communcations systems are dominated in size by the dimensions of the antenna. But by applying some techniques, it was possible to miniaturize two different types of antennas for use at UHF. Compared to an ordinary annular slot antenna operating at the same frequency, the volumes of these two experimental antennas were reduced by as much as 75% and 86.2%. The volumes of the two antennas are 0.11λo 0.11λo 0.005λo for the HCASA and 0.08λo 0.08λo 0.005λo for the SSA, where λo is the free-space operating wavelength. The compact antenna designs were also found to provide excellent omnidirectional radiation patterns for portable device applications at UHF.
References
- K.L. Wong, Planar Antennas for Wireless Communications, Wiley, New York, 2002.
- M. Karkkakainen and P. Ikonen, "Patch Antenna with Stacked Split-Ring Resonators as an Artificial Magneto-Dielectric Material," Microwave and Optical Technology Letters, Vol. 46, No. 6, 2005, pp. 554-556.
- M.T. Islam, A.T. Mobashsher, and N. Misran, "Small multi-band microstrip antenna for wireless applications," IEICE Electronics Express, Vol. 7, No. 21, 2010, pp.1629-1634.
- R. Azim, M.T. Islam, and N. Misran, "Ground modified double-sided printed compact UWB antenna," Electronics Letters, Vol. 47, No. 1, 2011, pp. 9-11.
- M.R.I. Faruque, M.T. Islam, and N. Misran, "Evaluation of specific absorption rate (SAR) reduction for PIFA antenna using metamaterials," Frequenz, Journal of RF-Engineering and Telecommunications, Vol. l64, No. 7/8, 2010, pp. 144-149.
- R. Azim, M.T. Islam, and N. Misran, "Compact Tapered Shape Slot Antenna for UWB Applications," IEEE Antennas and Wireless Propagation Letters, Vol. 10, 2011, pp. 1190-1193.
- L. Liu, S.W. Cheung, R. Azim, and M. T. Islam, "A compact circular-ring antenna for ultra-wideband applications," Microwave and Optical Technology Letters, Vol. 53, No. 10, 2011, pp. 2283-2288.
- R. Azim, M.T. Islam, N. Misran, S.W. Cheung, and Y. Yamada, "Planar UWB Antenna with Multi-slotted Ground Plane," Microwave and Optical Technology Letters, Vol. 53, No. 5, 2011, pp. 966-968.
- R. Azim, M.T. Islam, N. Misran, and A.T. Mobashsher, "Compact UWB Planar Antenna for Broadband Applications," Informacije MIDEM, Vol. 41, No. 1, 2011, pp. 37-40.
- A.T. Mobashsher, M.T. Islam, and N. Misran, "A Novel High Gain Dual Band Antenna for RFID Reader Applications," IEEE Antennas and Wireless Propagation Letters, Vol. 9, 2010, pp. 653-656.
- M.N. Shakib, M.T. Islam, and N. Misran, "Stacked Patch Antenna with Folded Patch Feed for Ultrawideband Application," IET Microwave Antennas and Propagation, Vol. 4, No. 10, 2010, pp. 1456-1461.
- M.T. Islam, A.T. Mobashsher, and N. Misran, "Design of a Microstrip Patch Antenna Using a Novel U-shaped Feeding Strip with Unequal Arm," Electronics Letters, Vol. 46, No. 14, 2010, pp. 968-970.
- K.L. Wong, Compact and Broadband Microstrip Antennas, Wiley, New York, 2002.
- C. Delafield and S. Sufyar, "A miniaturization technique of a compact omnidirectional antenna," Proceedings of the 3rd European Conference on Antennas and Propagation, 2009, pp. 384-388.
- I.F. Chen and C.M. Peng, "A novel reduced size edge-shorted patch antenna for UHF band applications," IEEE Antennas and Wireless Propagation Letters, Vol. 8, 2009, pp. 475-477.

