Compact Monopole Sleeve Antenna Reaches 11.8 GHz
Antennas for ultrawideband (UWB) must exhibit wide operating bandwidth, but also small size for use in a variety of electronic devices. A monopole planar sleeve antenna may meet those requirements with a broad frequency range extending almost to 12 GHz. It consists of symmetrical strips and a ground plane on the same side, using a coplanar-waveguide (CPW) structure on low-cost FR-4 dielectric substrate material with relative dielectric constant of 2.95 and thickness of 1.6 mm. This antenna is suitable for worldwide interoperability for microwave access (WiMAX) applications.
Numerous types of antennas have been proposed for UWB applications.1,2 Among the various types of UWB antenna designs proposed, the planar monopole antenna is particularly promising: It can provide uniform radiation fields and be integrated seamlessly with other electronic devices.3,4
Ground-plane effects play strong roles in the characteristics of a planar monopole antenna, including its impedance bandwidth and radiation pattern. The dual-sleeve tuning technique has been successfully applied to create antennas with wideband characteristic impedance,5 while the technique of forming slots on the ground plane has been adopted for use in many kinds of antennas.6-9
The proposed planar monopole sleeve antenna exhibits the desired return-loss characteristics for UWB communications. Its 10-dB bandwidth covers the UWB spectrum from 3.1 to 10.6 GHz and more, provided by using a trapezoid conductor and L-shaped slots in the ground plane. The use of such a structure enhances the impedance bandwidth.10Figure 1 shows a layout for the proposed antenna. It consists of a trapezoid and a ladder-shaped patch fed by a 50-Ω transmission line. L-shaped slots are cut from the edge of the ground plane and a 4.7-mm-long sleeve is attached to each side of the ground plane. Two patches form a 38.5-deg. angle. The trapezoidal structure improves the impedance bandwidth. The lower-frequency resonant point can be adjusted by changing the size of the ladder-shaped patch; the higher-frequency resonant point links tightly to the dual-sleeve structure to broaden the impedance bandwidth. To achieve a compact structure, the slots on the ground plane are chosen to be L-shaped configurations.
The antenna is printed on a standard, low-cost FR-4 copper-clad substrate with thickness of 1.6 mm and relative permittivity of 2.95. The overall size of the antenna is 32 x 20 x 1.6 mm. Its performance and behavior were analyzed with the aid of the Ansoft High-Frequency Structure Simulator (HFSS) software (www.ansys.com).
Figure 2 shows the simulated reflection coefficient (dB) as a function of frequency (GHz). The 10-dB bandwidth reaches from 2.39 GHz to 11.8 GHz, meeting the UWB application. Also, the reflection coefficient from 3.3 to 3.7 GHz (for WiMAX applications) is better than −17.5 dB. At 3.39 GHz, it reaches nearly −40 dB.
Figure 3 shows the effects of the ladder-shaped conductor and the sleeve on the monopole antenna’s reflection-coefficient performance. As can be seen from the curves of Figs. 3(b) and 3(d), the lower resonant frequency has been adjusted to 3.39 GHz by the use of the ladder-shaped conductor. Figures 3(c) and 3(d) show how the sleeve tuning method produces a new higher resonant frequency, while also expanding the impedance bandwidth.
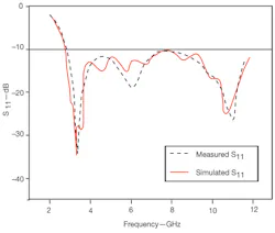
The far-field radiation patterns in the x-y E and H planes were computed at four frequency points: 3.4, 5.0, 8.0, and 10.0 GHz. Figure 4 shows that nearly omnidirectional radiation patterns were obtained at all four frequencies. With the increase in frequency, however, the symmetry of the radiation patterns was lost, with pronounced sidelobes appearing. Figure 5 shows a prototype of the proposed antenna; its dimensions are listed in the table. Measurements of return loss agree well with the simulations provided in Fig. 6. Figure 7 shows that the measured peak antenna gain as a function of frequency varied approximately from 2.4 to 4.4 dBi.
In conclusion, the use of the sleeve and ladder-shaped structures can help shrink the dimensions of a planar monopole antenna while also providing the wide impedance bandwidth needed for UWB communications applications.
ACKNOWLEDGMENTS
The authors would like to thank the National Natural Science Foundation of China for its support under Grant No. 60971118. The authors also thank the reviewers of this article for their invaluable comments.
REFERENCES
1. Kin-Lu Wong, “Compact and broadband microstrip antennas,” unpublished.
2. Y. Lu, Y. Huang, H.-T. Chattha, and P. Cao, “Reducing ground-plane effects on UWB monopole antennas,” IEEE Antennas and Wireless Propagation Letters, Vol. 10, 2011, pp. 147-150.
3. A. Elsherbini and K. Sarabandi, “Dual-polarized coupled sectorial loop antennas for UWB applications,” IEEE Antennas and Wireless Propagation Letters, Vol. 10, 2011, pp. 75-78.
4. Z.-Y. Zhang, G. Fu, W.-J. Wu, J. Lei, and S.-X. Gong, “A wideband dual-sleeve monopole antenna for indoor base station application,” IEEE Antennas and Wireless Propagation Letters, Vol. 10, 2011, pp. 45-48.
5. V. Zachou, C.G. Christodoulou, M.T. Chryssomallis, D. Anagnostou, and S. Barbin, “Planar monopole antenna with attached sleeves,” IEEE Antennas and Wireless Propagation Letters, Vol. 5, 2006, pp. 286-289.
6. L. Dang, Z.Y. Lei, G.L. Ning, and J. Fan, “A Compact Microstrip Slot Triple-Band Antenna for WLAN/WiMAX Applications,” IEEE Antennas and Wireless Propagation Letters, Vol. 9, 2010, pp. 1178-1181.
7. Lev Pazin, and Yehuda Leviatan, “Inverted-F laptop antenna with enhanced bandwidth for Wi-Fi/WiMAX applications,” IEEE Transactions on Antennas and Propagation, Vol. 59, No. 3, 2011, pp. 1065-1068.
8. B. Zhou, G.-Z. Lu, and Q. Yang, “Triple-band planar monopole antenna design,” Journal of Microwaves, Vol. 4, 2010, pp. 219-222.
9. Tenigeer, N. Zhang, J.-H. Qiu, S. Lin, and G.-L. Lu, “Wide slot UWB antenna with band rejection character analysis,” Chinese Journal of Radio Science, Vol. 26 , No. 1, February 2011, pp. 164-169.
10. T. Zhang, G. Fu, Z.-Y. Zhang, X. Chen, and Z. Mei, “Design of a printed sleeve antenna with broadband,” Journal of Microwaves, Vol. 4, August 2010, pp. 197-199.
11. C.-Y. Pan, T.-S. Horng, W.-S. Chen, and C.-H. Huang, “Dual wideband printed monopole antenna for WLAN/WiMAX applications,” IEEE Antennas and Wireless Propagation Letters , Vol. 6, 2007, pp. 149-151.
12. J. Chen, G. Fu, G.-D. Wu, L. Yang, S.-X. Gong, and X. Chen, “CPW-fed sleeve antenna for multiband applications,” Chinese Journal of Radio Science, Vol. 26, No. 1, February 2011, pp. 140-144.
13. S. Gai, Y.-C. Jiao, P. Zhu, and Y.-B. Yang, “A novel compact monopole antenna for WLAN applications,” Journal of Microwaves, Vol. 4, 2010, pp. 172-174.
14. J.-S. Li, “An omnidirectional microstrip antenna for WiMAX applications,” IEEE Antennas and Wireless Propagation Letters, Vol. 10, 2011, pp. 167-169.
15. S.-G. Zhou, B.-H. Sun, and Q.-Z. Liu, “Analysis and design of a novel omni-directional broadband biconical antenna for mobile communication,” Chinese Journal of Radio Science, Vol. 24, No. 2, April 2009, pp. 224-227.
About the Author

Leaders relevant to this article:








