Vector network analyzers are traditionally used to measure the continuous-wave (CW) S-parameter performance of components. Often, under these operating conditions, the analyzer is functioning as a narrowband measurement instrument. It transmits a known CW frequency to the component and measures the CW frequency response. If we were to look at the response of a single CW frequency, we would see a single spectral tone in the frequency domain. The analyzer has a built-in source and receivers that are designed to operate together in a synchronous manner, utilizing narrowband detection, to measure the frequency response of the component. Most analyzers can be configured to generate a frequency sweep over many frequency tones.
In some cases, the signal applied to the component must be pulsed (turned on and off) at a specific rate and duration. If we were to look at the frequency-domain response of a single pulsed tone, it would contain an infinite number of spectral tones making it challenging to utilize a standard narrowband VNA. This article describes how to configure and make accurate pulsed S-parameter measurements using a PNA vector network analyzer from Agilent Technologies (Santa Rosa, CA).
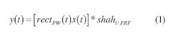
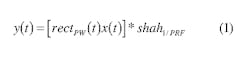
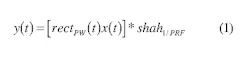
To see what the frequency-domain spectrum of a pulsed signal looks like, we first mathematically analyze the time-domain response. Equation 1 illustrates the time-domain relationship of a pulsed signal. This is generated by first creating a rectangular windowed version of the signal with pulse width PW. A shah function is then realized consisting of a periodic train of impulses spaced 1/PRF apart where PRF is the pulse-repetition frequency. This can also be viewed as impulses at spacing equal to the pulse period. The windowed version of the signal is then convolved with the shah function to generate a periodic pulse train in time corresponding to the pulsed signal:
To look at this signal in the frequency domain, a Fourier transform is performed on the pulsed signal y(t):
Equation 2 shows that the frequency-domain spectrum of the pulsed signal is a sampled sinc function with sample points (signal present) equal to the pulse-repetition frequency (PRF).
The left-hand side of Fig. 1 shows what the pulsed spectrum would look like for a signal that has a PRF of 1.69 kHz and a pulse width of 7 µs. The right-hand side of Fig. 1 shows the same pulsed spectrum with a zoomed-in view of the pulsed fundamental frequency. The spectrum has components that are nPRF away from the fundamental, where n is the harmonic number. The fundamental tone contains the measurement information. The PRF tones are artifacts of pulsing the fundamental tone, with relatively large magnitudes for those spectral components close to the fundamental tone.
The PNA vector network analyzer operates by means of narrowband detection of microwave energy. It downconverts a received signal to an intermediate frequency (IF) that is then digitized (sampled at discrete intervals) and digitally filtered for display and analysis. There are two different methods for measuring the S-parameters of a pulsed signal with a microwave PNA: "synchronic pulse acquisition" and "spectral nulling." Synchronic pulse acquisition is analogous to the "full pulse characterization" mode of operation on an 8510 vector network analyzer. Spectral nulling is analogous to the "High PRF" mode of operation in the 8510 series except that point-in-pulse and pulse-profiling can be performed whereas they could not on the 8510 in "High PRF" mode.
The synchronic-pulse-acquisition method provides synchronic timing between the individual incoming pulses and the analyzers discrete sampling. If the pulse width exceeds the minimum time to synchronize and acquire one or more discrete data points then the measurement falls into the synchronic pulse-acquisition mode of operation (Fig. 2) and the receiver performs at its full CW sensitivity and dynamic range with no pulse desensitization. Pulse-to-pulse characterization can be measured in this mode with each displayed data point corresponding to one individual pulse. This measurement is configured by aligning the incoming pulses with the sampling intervals of the analyzer using trigger-on-point mode and applying an external trigger to measure each pulse. The analyzer must see 100 µs of pulsed signal before the acquisition period (less than the recommended 100 µs will result in reduced measurement performance). This accounts for PNA hardware filter settling. There is a 70-µs delay between the applied trigger and when the analyzer begins digitization of one discrete point. Therefore, a 30-µs delay should be applied between the incoming pulse and applied trigger to account for the 100 µs of pre-acquisition pulsed RF. The minimum acquisition time on the analyzer is roughly proportional to inverse of the intermediate-frequency (1/IF) bandwidth. As the IF bandwidth is decreased, the measurement acquisition time for each data point increases. The minimum acquisition time on the analyzer is 30 µs for an IF bandwidth setting of 35 kHz. This corresponds to a minimum measurable pulse width of 130 µs.
The synchronic mode of operation requires a pulse generator to supply the timing width and delays for the external triggering and the modulation. Modulation can be supplied by modulating the device-under-test (DUT) bias (Fig. 3) or modulating the source signal. A standard microwave PNA has both a trigger-in and trigger-out (ready for trigger) BNC connector that may be used to synchronize the trigger timing of the analyzer and pulse generator. In point mode, applying a trigger-in signal will cause the analyzer to acquire data for the first frequency point, move the source frequency to the next point, and then send a trigger-out signal to notify the pulse generator that it is ready to acquire the next data point. At this point, the pulse generator may send a trigger to the analyzer to acquire the next data point.
Page Title
The spectral-nulling method is usually used when the pulse width is less than the minimum time required to digitize and acquire one discrete data point. Therefore, multiple pulses must be captured for one data point acquisition. There is no strict synchronization between the individual incoming pulses and the time-domain sampling of the analyzer. The frequency-domain representation of the pulsed signal has discrete PRF tones that can be filtered out, leaving the fundamental tone, which carries the measurement information. During the downconversion process in the analyzer, filtering is applied to reject unwanted noise and signal components. Once the signal is digitized, the analyzer applies a digital filter with an IF bandwidth specified by the user. Typically, this filter is used to reduce measurement noise and increase dynamic range. The digital filtering algorithm works well for non-pulsed signals, but what occurs when the receiver receives a pulsed signal?
With narrowband detection, it is desirable to use a digital rectangular filter to attenuate all but the pulsed fundamental-frequency component of a received signal. This would require a filter that would have a minimum stopband frequency less than the PRF of the pulsed signal with optimum rejection. The filter-transition slope should be well away from the first PRF tone (Fig. 4, left), so that there is maximum rejection of the unwanted tones. This filter may be difficult to design because the PRF tones may be in close proximity to the fundamental tone. Strict rectangular filters in the frequency domain have some trade-offs such as excessive ringing in the time domain. As such, filter designers adopt differing techniques to get the best performance in both frequency and time domain while still offering significant filtering performance.
The right-hand side of Fig. 4 shows the response of one possible digital IF filter used in the analyzer. It is not rectangular in shape and therefore, if used unaltered, could pass unwanted components in the frequency domain, causing measurement error. In addition, this digital filter has nulls that are periodically spaced in the frequency domain. The period of these nulls is proportional to the sample rate of the receiver and the architecture of the digital filter. With a microwave PNA, it is possible to filter out the unwanted signal components by aligning the nulls of the digital filter with the unwanted pulsed spectrum components, leaving the fundamental tone (Fig. 5). One advantage of this filtering technique is that the nulls of the filter are very deep and provide substantial rejection of the pulsed spectral components. Another advantage is that the nulls can be placed in close proximity to the fundamental tone because the transition regions at the nulls are very abrupt.
Figure 6 provides a representative view of the pulsed-signal and the analyzer-discrete samples for a time-domain view. The pulse that is digitized by the samplers has lost its original time-domain shape due to downconversion and various hardware filtering components applied to the pulse while traveling through the narrowband receiver. Accurate pulsed measurement information remains intact during this downconversion process. The pulse-to-pulse shape seen at the digitizers has changed due to the difference in the phase relationship between the PRF and the swept frequency. The number of pulses sampled during one data point acquisition is dependent on the IF bandwidth setting, pulse period and pulse width. In this example, a pulsed signal with a pulse period of 100 µs and a pulse width of 1 µs is being measured. The 500-Hz IF filter chosen for this measurement requires 292 samples, each spaced 6 µs apart, to display one data point on the analyzer display. During the acquisition time for one data point, the analyzer has been sent 17 pulses with each digitized sample containing data from a different part of the incoming pulses.
When using the spectral-nulling mode of operation, there is a loss in dynamic range corresponding to the duty cycle, equal to 20log(duty cycle). This is due to the narrowband filter rejecting everything except the fundamental tone of the pulsed signal. As the duty cycle decreases, more energy moves into the sidebands and less energy remains in the fundamental tone. This can be illustrated by analyzing Eq. 2 and noticing that the magnitude of the tones in the frequency domain decrease proportionally to the pulse width and the pulse-repetition frequency (i.e., duty cycle = pulse width × PRF). For some analyzers, this may limit measurement usability. One key benefit of using the microwave PNA in this configuration is that very narrow pulse widths (i.e., much less than 1 µs) can be used as long as the duty cycle is large enough to provide acceptable measurement dynamic range. As the duty cycle decreases, the dynamic range reaches a point where the measurement results may not have sufficient accuracy. The microwave PNA excels using narrowband detection because of its outstanding performance in trace noise and dynamic range over other network analyzers (Fig. 7) as well as the utilization of spectral nulling.
Measuring a component using the spectral-nulling technique requires modulation via control of the DUT bias or by a pulsed stimulus. Figure 8 shows the hardware configuration for a pulsed-stimulus measurement. Gate switches (modulators) are placed in front of the source and receivers where the delay and width of each of these gates can be set up independently. This pulses the analyzers internal source and provides time gating for the receivers to do point-in-pulse and pulse profiling as the following section illustrates. The external modulators and pulse generators largely define pulse-width limitations. The pulse generator must have a phase-locked-loop (PLL) reference (10 MHz) input to lock the analyzer and pulse generator to the same time base. This is essential to make sure that the frequency-domain components of the filter and pulsed spectrum are locked together during alignment of nulls with PRF components. The microwave PNA should be configured with options H08 and H11. Option H11 provides the IF gating hardware for point-in-pulse and pulse profiling. Option H08 provides application software to configure the analyzer in spectral-nulling mode.
Page Title
In this configuration, an external coupler is used to couple back the pulsed source signal to the reference receiver (Fig. 9). This is beneficial when measuring ratioed parameters because any deviations in the external components after calibration will have minimal affect on the measurement results. Both the measurement and reference receiver will see the same deviations. A modulator is placed after the source and must have a frequency response equal to the DUT requirements (i.e., it must be able to pass the signal from the source with minimum attenuation). An amplifier may be placed after the modulator to provide a constant source match during measurement and calibration, and may also be used to increase the pulsed signal power. An isolator may be required (before the modulator) to isolate the analyzer source from the modulator, so that when the modulator is in the off state (no energy passing through modulator) that any high reflections, due to the off-state match of the modulator, are minimized before reaching the analyzer. A highpass filter may also be required (after the modulator) to filter out any video feedthrough, generated by the modulator, which may interfere with the operation of the analyzer.
There are three different pulse-response-measurement types that may be used to determine pulse characteristics (Fig. 10). Any of these can be used with either the synchronic-pulse-acquisition or the spectral-nulling techniques by utilizing receiver gating in the microwave PNA. Receiver gating is implemented by adding IF gates (switches) after the first converter. These gates are TTL controlled and provide the hardware ability to perform point-in-pulse and pulse-profiling by providing a delay and width for the incoming pulsed RF signal.
- Average-pulse measurements are performed by not applying any receive triggering delay or gating. This means that the receiver measures and integrates all the energy from the DUT during the pulse duration. In effect, the gate width is set equal to or greater than the pulse width.
- Point-in-pulse measurements provide the user the ability to measure the output of the DUT at any point in time during the pulse by applying a time delay between when the source/bias is pulsed and when the receivers start taking data. A time gate width for which the pulsed energy is allowed to pass to the receivers can also be specified providing a variable receiver integration window.
- Pulse-profiling is similar to point-in-pulse except that the measurement information is displayed in time domain, at a CW frequency, where the time axis represents a point-in-pulse measurement with a variable time delay (i.e. from a starting delay to a stop delay). This can be thought of as walking the point-in-pulse measurement across the envelope of the pulse. With the microwave, PNA the minimum receiver gate width is approximately 50 ns resulting in excellent resolution for pulse-profiling analysis.
Figure 11 shows an S-parameter filter-measurement comparison between a signal with no pulsing (memory trace) and a signal with a 300-ns pulse width (data trace) both at similar IF bandwidth settings. For a 300-ns pulse width, the spectral nulling mode was used. With 1.35-percent duty cycle, the specified dynamic range has been effectively reduced by 37.4 dB . This can be visualized by comparing the rejection of the memory trace with that of the data trace at the marker. The data trace is showing a stop-band rejection figure of approximately 80 dB. The memory trace is showing rejection of approximately 115 dB which is a 35-dB difference corresponding to the 37.4 dB duty cycle loss. If needed, 10 dB can be added by applying 10 averages to the measurement (Fig. 12).
With a 300-ns pulse width and 1.35-percent duty cycle, the PRF is 45 kHz. This means that the first PRF tone is 45 kHz away from the fundamental. Figure 13 shows a similar measurement using the same 1.35-percent duty cycle, but with a pulse width of 5 µs. In this case, the PRF is 2.7 kHz which places a PRF tone much closer to the fundamental tone. Narrowband detection techniques may have difficulties filtering a tone this close to the fundamental. However, the spectral-nulling technique has no difficulties nulling out this tone resulting in an accurate measurement. The duty cycle loss is expected to be the same for the 300-ns and 5-µs pulse-width examples because the duty cycles are the same. In Figs. 11 and 13, this is evident in that the rejection regions for both examples are the same at approximately 80 dB. In performing the measurements described in these examples, it should be noted that the Agilent E8362/3/4B and E8361A analyzers should be configured with option H08 and H11 if using the spectral-nulling technique and/or if point-in-pulse/pulse-profiling is required.
FOR FURTHER READING
Agilent Technologies, "Pulsed Measurements using the Microwave PNA Series Network Analyzer," Agilent Technologies White Paper 5988-9480EN.
Agilent Technologies, "Triggering the PNA Series Network Analyzer for Antenna Measurements," Agilent Technologies White Paper 5988-9518EN.
Agilent Technologies, "Pulsed Measurements with the Agilent 8720ES and 8753ES Network Analyzers," Agilent Technologies Product Note, May 2000.
Agilent Technologies, "Using a Network Analyzer to Characterize High-Power Components," Agilent Technologies Application Note AN 1287-6, March 2003.
John Barr, R. Grimmet, and R. McAleenan, "Pulsed-RF Measurements and the HP 8510B Network Analyzer," HP RF & Microwave Measurement Symposium and Exhibition, August 1988.
Hewlett-Packard Co., "85108A Pulsed Network Analyzer System," Hewlett-Packard System Manual, March 1995.
Hewlett-Packard Co., "HP 8510B Pulsed-RF Network Analyzer," HP Users Guide, March 1995.
J. Scott, M. Sayed, P. Schmitz, and A. Parker, "Pulsed-Bias/Pulsed-RF Device Measurement System Requirements," 24th European Microwave Conference, pp. 951-961, Cannes, France, September 5-8, 1994.
J. Swanstrom and R. Shoulders, "Pulsed Antenna Measurements with the 8530A Microwave Receiver," Hewlett-Packard Co., AMTA conference, undated.
P. Schmitz and M. Sayed, "Techniques for Measuring RF and MW Devices in a Pulsed Environment," Hewlett-Packard Co., February 1993.
B. Taylor, M. Sayed, and K. Kerwin, "A Pulsed-Bias/RF Environment for Device Characterization," 42nd IEEE ARFTG, San Jose, CA, December 1993.
Hewlett-Packard Co., "Pulsed-RF Network Analysis using the 8510B," HP Product Note 8510-9, Jan 1988.
Hewlett-Packard Co., "Spectrum Analysis—Pulsed-RF," HP Application Note 150-2.
D.C. Nichols, "Capture and Analysis of Individual Radar Pulses Using a High-Speed, High-Resolution Digitizer," HP RF & Microwave Measurement Symposium, September 1987.
About the Author

Leaders relevant to this article:
