Simple PBG Structures Serve Microwave Designs
Photonic-bandgap (PBG) structures provide effective and flexible means of controlling electromagnetic (EM) waves along a specific direction. PBG structures are formed with microstrip lines and simple periodic perforations on a ground plane. By controlling the position of a microstrip line in relation to the perforations, PBG structures can be fabricated with stopband responses. They can be used for a variety of microwave applications, including antennas, power amplifiers (PAs), and filters, and can be effectively modeled by means of full-wave EM analysis and simulation.
Microstrip PBG structures are essentially sections of microstrip line with perforation patterns etched on the ground plane.1-3 A variety of designs have been developed, and their bandstop and slow-wave characteristics studied.4-6
One area in which PBG structures may play a significant role is in the design of high-efficiency PAs. The efficiency of such amplifiers is typically improved by tuning harmonic frequencies, often by adding open- or short-circuit stubs at the output port. However, the use of PBG structures for harmonic tuning in a PA may not only increase power efficiency, but have the added benefit of suppressing undesired harmonic radiation.7,8 PBG structures also offer the potential to achieve high efficiency over broader bandwidths than conventional harmonic tuning techniques.
Some researchers have reported a new tunable PBG resonator9,10 that works in conjunction with a piezoelectric transducer (PET). The PET is used to perturb the EM fields incident on a PBG resonator, thus changing the effective length of the resonant line and shifting the resonant frequency of the structure.
Researchers have also studied a dielectric resonator filter with whispering gallery modes based on a PBG structure11,12 as well as the effects of PBG structures on suppressing the harmonic resonances of an antenna.13,14 In the current study, the effects of a 50-Ω microstrip line placed at various positions above fixed periodic square holes on a microstrip ground plane were studied for the effects on the perturbation of EM waves, with the intent of finding optimal positions for the transmission lines.
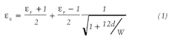
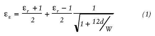
In order to understand the importance of positioning the microstrip transmission lines in the design of PBG structures, it will be necessary to perform a few simple calculations for basic circuit-board parameters. For example, the effective dielectric constant, εe and characteristic impedance, Z0, for a quasi-transverse-electromagnetic (TEM) microstrip line (Fig. 1) are approximated in refs. 15 and 16. The effective dielectric constant can be found from:
while the characteristic impedance can be found from:
where:
D = the height of the dielectric substrate, and
W = the width of the microstrip line.
The center frequency of the stopband12,13 for the PBG structure shown in Fig. 2 is given by:
where:
f = the frequency of the stopband width with a number holes,
c = the speed of light, and
D = the distance between the periodic holes on the ground plane.
In order to understand the potential of PBG structures for microwave applications, a 50-Ω microstrip line was analyzed at various positions above fixed periodic square holes on a ground plane. Analysis was performed with the computer-aided-engineering (CAE) software suite Microwave Office 200017 from Applied Wave Research (El Segundo, CA) in order to study the EM behavior of various PBG structures. PBG circuits were fabricated on an FR4 substrate with dielectric constant of 4.8 and height of 1.48 mm.
The top part of Fig. 3 shows the layout of the designed PBG structure with a 50-Ω microstrip line placed at the center position above the periodic 8 × 8-mm square holes with periodic distances of D = 2W along the ground plane. The middle section of Fig. 3 shows the 50-Ω microstrip line placed around the center position of the ground plane above the periodic holes. To take this design approach one step further, the 50-Ω microstrip line was moved to the fringe wall of the perforated square edge (bottom part of Fig. 3). Results of the EM simulations for S21 responses are shown in Fig. 3.
Obviously, the centered microstrip line incorporated with the PBG structure show clear bandstop character, which can be exploited to reject unwanted frequencies. Figure 4 shows the EM-simulated data of S21 of Fig. 3 with a 50-Ω microstrip line standing aside the center position of periodic square holes in the ground plane. The PBG structure was found to exhibit similar performance compared to the middle section of Fig. 3. Figure 4 shows the simulated results of the bottom section of Fig. 3, with the 50-Ω microstrip line positioned along the fringe of the perforated square holes. The response can be approached as a lossy 50-Ω line without effective perturbation on the PBG structure. Figure 5 demonstrates that the maximum energy perturbed by periodic holes is at the center of the perforated holes above ground plane.
Page Title
Figure 6 shows measured responses for the results reported in Fig. 3. Measurements agree fairly closely with simulated responses. Further measurements (not shown) indicate a stopband region for effective rejection of harmonic responses.
In summary, several simple PBG structures were realized using microstrip lines on perforated ground planes. These PBG structures exhibit usable bandstop-filter characteristics due to the positioning of the microstrip relative to the perforated ground plane. By cascading the perforated square cells, a practical PBG microstrip transmission line can be fabricated with strong bandstop character. Using EM CAE tools, it was possible to achieve fairly good agreement between PBG simulations and measured results.
ACKNOWLEDGMENTS
The authors wish to thank vice president Michael Wang, Y.D. Chen, and Wireless Business Unit (WBU) of Quanta Computer Inc., Taiwan, ROC for their valuable suggestions and encouragements during this work.
REFERENCES
- Q. Xue, K.M. Shum, and C.H. Chan, "Novel 1-D Microstrip PBG Cells," IEEE Microwave and Guided Wave Letters, Vol. 10, pp. 403-405, October 2000.
- D. Cadman, D. Hayes, R. Miles, and R. Kelsall, "Simulation results for a novel optically controlled photonic bandgap structure for microstrip lines," IEEE MTT-S-Digest, pp. 110-115, 1997.
- Y. Qian and T. Itoh, "Microwave applications of photonic band-gap (PBG) structures," IEEE MTT-S-Digest, pp. 315-318, 1999.
- V. Radisic, Y. Qian, R. Coccioli, and T. Itoh, "Novel 2-D photonic bandgap structure for microstrip lines," IEEE Microwave Guided Wave Letters, Vol. 8, pp. 69−71, Feb. 1998.
- R. Coccioli, W.R. Deal, and T. Itoh, "Radiation characteristics of a patch antenna on a thin PBG substrate," IEEE Antennas & Propagation International, pp. 21−26, June 1998.
- F.R. Yang, Y. Qian, R. Coccioli, and T. Itoh, "A novel low loss slow-wave microstrip structure," IEEE Microwave Guided Wave Letters, Vol. 8, pp. 372−374, November 1998.
- C.Y. Hang, V. Radisic, Y. Qian, and T. Itoh, "High efficiency power amplifier with novel PBG ground plane for harmonic tuning," IEEE MTT-S Digest, pp. 807-810, 1999.
- V. Radisic, Y. Qian, and T. Itoh, "Broadband power amplifier using dielectric photonic bandgap structure," IEEE Microwave Guided Wave Letters, Vol. 8, pp. 13−14, January 1998.
- T.Y. Yun and K. Chang, "An electronically tunable photonic bandgap resonator controlled by piezoelectric transducer," IEEE MTT-S Digest, pp.1445-1447, 2000.
- T.Y. Yun and K. Chang, "One-dimensional photonic bandgap resonators and varactor tuned resonators," IEEE MTT-S-Digest, pp.1629-1632, 1999.
- Y. Ji, X. Steve, and L. Maleki, "High-Q whispering gallery mode dielectric resonator bandpass filter with microstrip line coupling and photonic bandgap mode suppression," IEEE Microwave and Guided Wave Letters, Vol. 10, pp. 310-312, August 2000.
- I. Rumsey, M.P. May, and P.K. Kelly, "Photonic bandgap structures used as filter in microstrip circuits," IEEE Microwave and Guided Wave Letters, Vol. 8, pp. 336-338, October 1998.
- Y. Horii and M. Tsutsumi, "Harmonic control by photonic bandgap on microstrip path antenna," IEEE Microwave and Guided Wave Letters, Vol. 9, pp. 13-15, January 2000.
- T.J. Ellis and G.M. Rebeiz, "MM-wave tapered slot antennas on micromachined photonic bandgap dielectrics," IEEE MTT-S Digest, pp. 1157−1160, June 1996.
- D.M. Pozar, Microwave Engineering, Second Edition, John Wiley & Sons, Inc., New York, 1998.
- D.H. Schrader, Microstrip Circuit Analysis, Prentice Hall PTR, Englewood Cliffs, NJ, 1995.
- Microwave Office 2000 User's Guide, Applied Wave Research, Inc., El Segundo, CA.

