Perform Fast Optimization Of Tapered WG Transformers
Waveguide tapers are often necessary when making a transition between two different types of waveguide transmission lines, such as singleridge waveguide and double-ridge waveguide. While three-dimensional electromagnetic (EM) analysis programs can help achieve good performance for such waveguide tapers, they also depend on a fairly close starting point in terms of the geometric dimensions for the transition. Fortunately, the author has developed a useful software program based on a mathematical model that provides geometric dimensions for tapered waveguide transformers.
Designing waveguide transformers usually starts with an initial geometric structure that can be perfected by means of EM analysis, using a commercial EM computer-aidedengineering (CAE) software tool such as the High-Frequency Structure Simulator (HFSS) software from Ansoft Corp. The latest versions of such EM simulator include powerful optimization routines but, depending upon the starting point, can require a long time to make meaningful refinements to a waveguide transition design. But by the use of mathematical models, it is possible to optimize a geometric design for a required frequency range. These results can then be used with an EM simulator for fine-tuning the results.
Those "old" mathematical models, combined with a powerful algorithm, are the basis for a program that provides a geometric starting point for the design of waveguide tapers and transitions. The program will be used to design various examples of waveguide transitions, and geometric representations of those transitions will be created from the dimensions provided by the program. The program can be used to calculate dimensions for three different types of waveguide: rectangular, single-ridge, and double-ridge waveguide (Fig. 1). It can also be used for calculations when designing horn antennas radiating into free space.1-5
The three ways to calculate waveguide impedance6 are shown in Eqs. 1a, 1b, and 1c in the box. The impedance for waveguide, which does not support transverse electromagnetic (TEM) mode propagation, is not unique and can be readily calculated for a given structure. However, the useful relationship shown in Eq. 2 makes it possible to find the intrinsic impedance, ZPV = Zint, for a given waveguide profile according to whether it is rectangular or ridged waveguide. For rectangular waveguide2, the relationship of Eq. 3 can be applied, where the impedance of free air can be found by
ZAIR = (0/e0)0.5
For ridged waveguide,1,3-6 the relationship of Eq. 4 can be applied, where m = 2 for a single-ridge waveguide structure and m = 1 for a double-ridge waveguide, and
θ1 = (A/λC)
and
θ2 = (A/λC)
where λC is the wavelength at the cutoff frequency.
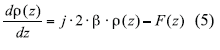
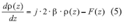
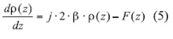
For given input and output impedances and a required voltage standing wave ratio (VSWR), any tapered geometric profile that is long enough will give good results for the different types of waveguide. The software program presented here is not meant to deal with particularly long waveguide structures, but is designed to calculate the impedance taper with the minimum length necessary to ensure a required reflection coefficient, ρ. The reflection coefficient is a parameter of the phase in the impedance equation of the waveguide taper. The method for solving for it is to use the simplified Riccati equation, with ρ2
where
F(z) = 0.5{d/dz}
and
= 2 /π = 2 f/c
and
= the wave coefficient at frequency f;
c = the speed of light in a vacuum;
z = the position on the taper; and
Z(z) = the impedance at the taper location indicated by z.
The software program provides the option of calculating one of three types of electrical impedance tapers. These three types are near optimum taper, cosine square taper, and exponential taper. For the near optimum taper,7 the impedance function can be found by applying the relationship of Eq. 6, where Zin = the impedance at the transformer's input port;
Zout = the impedance at the transformer's output port, with the value of parameter y0 = 0.5ln(Zout/Zin);
b = a calculated parameter that is dependent upon the required maximum acceptable VSWR;
L = the taper length derived also from the required VSWR value;
and I0 = the modified Bessel function of the first type and zero order.
For the cosine square taper,8 the impedance function can be found by applying the relationship of Eq. 7, while for the exponential taper,8 the impedance function can be found by applying the relationship of Eq. 8.
For finding the key parameters for a given waveguide taper, the first step is to calculate the input and output impedances from the given dimensions. Then, it is a matter of
calculating the impedances for any number of points along a taper profile for a desired taper type. The last step involved converting the impedance values to wavguide geometric dimensions. This last step, of course, is not trivial. In order to create the proper taper for a given waveguide, the software program must certify that the predicted geometric profile is continuous and that there are no drastic dimensional changes along the taperi.e., that the taper is smooth and continuous. The right algorithm was needed to perform this certification.
Continue on Page 2
Page Title
In order to ensure continuity along the taper, the algorithm depended upon two factors. The first factor was having a bandwidth that included the required cutoff frequency. The other constraint was that each dimensional parameter had a pointer to indicate the direction of continuous dimensional increase or decrease. The program was put to the test for a number of different types of tapers, with electromagnetic (EM) analysis performed using the High Frequency Structure Simulator (HFSS) commercial computer- aided-engineering (CAE) program from Ansoft Corp.10
As the first example, a rectangularto- single-ridge transformer (RTSR) was developed with the help of the taper program and analyzed with HFSS. The input for the waveguide is a WR-75 rectangular waveguide flange while the output is a WRS-750 single-ridge waveguide. The taper range as determined by the dimensions of the rectangular waveguide is 10 to 15 GHz. The dimensions of the rectangular waveguide flange are Ainput= 19.05 mm and Binput= 5.08 mm. The dimensions for the single-ridge waveguide flange are Aoutput= 17.55 mm, Boutput= 4.075 mm, Soutput= 4.394 mm, and Doutput= 1.727 mm. Inputs for the waveguide taper program are iterative and shown in Fig. 2.
The input prompts ask whether dimensions are to be applied in millimeters or inches, and also the type of taper. For these inputs, NOPT stands for the near optimum taper, COSQ stands for the cosine square taper, and EXPN stands for the exponential taper. The next four prompts or questions are for entering the input and output dimensions. The question "Include B.W?" regarding the bandwidth is a restricting option. By answering yes, the program will try to maintain the bandwidth that includes the two cutoff frequencies, which may be wider than the required bandwidth for the waveguide taper. The following two questions allow an operator to change the priority that the program gives to keeping the two cutoff frequencies beyond the initial frequency range of the waveguide taper. The next question prompts an operator for the frequency range. Following this, a question prompts an operator for whether some of the dimensional variables can be kept constant. The three remaining questions have to do with the number of sections that will determine the smoothness of the taper and the calculation time; the required VSWR that will determine the minimal length of the taper; and the maximal permitted taper length required by the design constraints.
The waveguide taper program calculates the required taper length to obtain the required VSWR. The length for each section is corrected for the velocity differences resulting from the section cutoff frequency; as a result, the total length changes slightly from the calculated initial value. The program calculated the impedance of each section and then collects the dimensions into a table. The table parameter WALL1 refers to B/2 while the parameter GAP1 referns to D/2. The output file is written to the file TPROUT (Fig. 3).
A geometric interpretation of the rectangular-to-single-ridge (RTSR) waveguide taper is shown in Fig. 4. It shows one-half of the air gap for the taper, which is all that is needed to perform an EM analysis with a commercial CAE program such as HFSS. In order to check transmission as well as return loss and VSWR, a geometric module of two tapers connected back to back with a transmission line between them was used for the simulated analysis (Fig. 5). The EM analysis yielded the expected VSWR performance for such a transition, from 10 to 15 GHz (Fig. 6).
In analyzing the transition between a rectangular waveguide and a double- ridge waveguide, a WR-75 rectangular waveguide flange was used for the input port and a WRD-750 double- ridge (DR) waveguide flange at the output port. The frequency range for the rectangular-to-double-ridge (RTDR) waveguide taper is expected to be from 10 to 15 GHz based on the waveguide sizes. The WRD-750 DR flange dimensions are A = 17.55 mm, B = 8.153 mm, S = 4.394 mm, and D = 3.454 mm. The output file generated by the waveguide taper program is shown in Fig. 7. A geometric representation of the RTDR waveguide taper (Fig. 8) shows a portion of the air gap for the waveguide taper, but this is all that is needed for performing an EM analysis on the waveguide structure. That analysis yielded simulated VSWR data for the waveguide transition, as shown in Fig. 9.
For evaluating the waveguide taper program with calculating the impedance and dimensions for a transition between a single-ridge waveguide and a rectangular waveguide, a structure was chosen with WRS-750 singleridge waveguide flange as the input port and WR-75 rectangular waveguide flange at the output. The singleridge- to-rectangular (SRTR) transition is portrayed by the output file shown in Fig. 10. The results of the EM analysis on the structure, using the HFSS program, are shown in terms of expected VSWR performance from 9 to 16 GHz (Fig. 11).
For designing a single ridge tapered to aperture (SRTA) waveguide transition, the input is a WRS-750 single-ridge waveguide flange and the output is the horn antenna aperture. The dimensions of the horn antenna aperture are A = 50 mm and B =20 mm. Figure 12 shows the output file obtained from providing the waveguide taper with the appropriate input data. The results of the analysis on the SRTA waveguide with HFSS is shown in Figure 13 and Figure 14.
For the analysis of a taper between double-ridge waveguide and rectangular waveguide, the modeled structure included a WRD-750 double-ridge waveguide flange at the input and a WR-75 rectangular waveguide flange at the output. For this double-ridge-to-rectangular (DRTR) waveguide taper, the waveguide taper program generated the output file shown in Fig. 15, with the HFSS-simulated results for predicted VSWR performance from 9 to 16 GHz shown in Fig. 16.
For the transition between doubleridge waveguide at the input and single- ridge waveguide at the output, the taper program was used to analyze an input WRD-750 double-ridge waveguide flange and an output WRS-750 single-ridge waveguide flange. Figure 17 shows the output file generated by the waveguide taper program for this particular transition, with the results of the EM analysis with HFSS on the transition between the double ridge waveguide and the single ridge waveguide shown in Fig. 18.
In reviewing some of the results of the analysis, for example, it is clear that the seven-section RTSR taper represented by the simulated VSWR of Fig. 6 did not provide optimal performance, although it fulfilled the requirement of minimum length. It is possible in that case that a choice of more sections or one of the other types of tapers presented might have improved the performance. The best that can be said for the RTSR analysis is that it provides a starting point for analysis and improvement.
For the other waveguide transitions, however, the results are quite encouraging. For the RTDR taper (Fig. 9), for example, the VSWR is less than 1.40:1 for the full band of frequencies covered in the analysis (10 to 15 GHz). And for the SDTR waveguide taper (Fig. 11), computer analysis yielded VSWR of better than 1.70:1 at the lower band e dge and better than 1.20:1 for frequencies above 10.4 GHz. For the SRTA waveguide taper, the VSWR was better than 1.35:1 for the full frequency range of analysis (Fig. 13). Analysis for the DRTR taper (Fig. 16) revealed VSWR of less than 1.70:1 at the lower bandedge and better than 1.30:1 for frequencies above 11.5 GHz. And compared to the long horn antenna aperture shown in Fig. 19,11 the radiation patterns for a rectangular section of waveguide taper are quite similar (Fig. 20), even though this modeled section is considerably shorter in length than the horn antenna. Analysis for the short rectangular waveguide aperture produced an antenna pattern very close to that for the horn antenna. The beamwidth for the aperture was approximately 58.5 deg. in elevation and 30 deg. in azimuth.
Continue on Page 3
Page Title
In all of the examples studied, the waveguide taper program produced analysis results within reasonable tolerances of optimum requirements. The simple software program is based on the mathematical relationships shown earlier, and provides easy-to-follow data it is output files, including the cutoff frequencies at different lengths for various waveguide transmission structures.
The program is effective for saving time and tedium in the design of waveguide tapered transitions, especially when those tapers must be kept to minimum lengths. The program, which provides input data for use with an EM simulator, can also be used to generate data when integrating different waveguide components in a subassembly. It can be used to combine the components without matching them to the conventional standardized flanges. For those readers interested in the program, the author can be reached via e-mail at [email protected].
REFERENCES
1. Seymour B. Cohn, "Properties of Ridge Waveguide," Proceedings of the IRE, Vol. 35, August 1947, pp. 783-788.
2. N. Marcuvitz, Waveguide Handbook, MIT Radiation Laboratory Series, Vol. 10, Boston Technical Publications, Inc., 1964.
3. S. Hopfer, "The Design of Ridged Waveguides," IRE Transactions on Microwave Theory & Techniques Vol. MTT-3, No. 10, October 1955, pp. 20-29.
4. T. S. Chen, "Calculation of the Parameters of Ridge Waveguide," IRE Transactions on Microwave Theory & Techniques, Vol. MTT-5, No. 1, January 1957, pp. 12-17.
5. W. J. R. Hoeffer and M. N. Burton, "Closed Form Expressions for Parameters of Finned and Ridge Waveguide," IEEE Transactions on Microwave Theory & Techniques, Vol. MTT-30, No. 12, December 1982, pp. 2190-2194.
6. J. Helsajn and M. Caplin, "Impedance and Propagation in Ridge Waveguide," Microwave Engineering Europe, pp. 49-58, May, 1997.
7. R. P. Hechen, "A Near-Optimum Matching Section Without Discontinuities," IEEE Transactions on Microwave Theory & Techniques, Vol. MTT-20, No. 11, November 1972, pp. 734-739.
8. F. Bolinder, "Fourier Transforms in the Theory of Inhomogeneous Transmission Lines," Transactions of the Royal Institute of Technology, Stockholm, Sweden, Report No. UDC621.392.22: 517.512.2., 1951.
9. R. M. Jones and S. A. Heifets, "Investigation of the Beam Impedance of a Slowly Varying Waveguide," 16th IEEE Particle Accelerator Conf. (PAC 95) and International Conference on High Energy Accelerators, Dallas, TX, May 1-5, 1995.
10. Ansoft Corp., "High Frequency Structure Simulator (HFSS)," www.ansoft.com.
11. David M. Pozar, Antenna Design Using Personal Computers, Artech House, Norwood, MA, 1985. Microwaves & RF
