Model PAs With Wideband Signals
Chokri Jebali, Noureddine Boulejfen, Ali Gharsallah, and Fadhel M. Ghannouchi
Effective modeling of power amplifiers (PAs) must often include any memory effects that can impact an amplifier's linearity. Such effects arise from the influences of self-heating, bias circuitry, and other sources and can hinder any efforts to develop linearization schemes for PAs. To better understand the dynamics of such effects, PA behavioral models were developed, both with and without memory effects, using realistic multicarrier wideband codedivision- multiple-access (WCDMA) signals. Conventional and orthogonal polynomial models were used to analyze the effects of signal bandwidth and power distribution on PA behavioral models, with results shown for different memory depths and orders of nonlinearity.
Wireless communication systems are evolving to provide higher data rates within an overcrowded radiofrequency spectrum. To optimize spectral efficiency, several transmission formats employ WCDMA signal transmission formats. But these formats also require good PA linearity, since nonlinear amplifier behavior can cause unwanted effects, such as spectral regrowth. While it is possible to operate a wireless communications system's PA in linear mode when using wideband signals to attain a high peak-to-average power ratio (PAPR), this also results in low power efficiency. To achieve both high efficiency and good linearity, a PA must be driven between linear and saturated modes.
To improve linearity, wireless base stations often employ Doherty PAs cascaded with a digital predistortion circuit. The digital predistortion consists of applying a complementary nonlinearity upstream of the PA to compensate for its own nonlinearities. Thus, both the digital predistorter and the PA behave as a linear amplification system. To predict the performance of such a system, behavioral modeling is often used, since predistortion can be considered as a behavioral modeling problem. Synthesis of the predistortion function is similar to the behavioral modeling of a wireless transmitter/PA reverse function obtained by swapping the transmitter's input and output signals with the appropriate small-signal gain. Behavioral modeling can simplify the overall modeling of the RF device under test when trying to identify a mathematical function that relates the system's input with its output.
Behavioral modeling often involves the use of a polynomial model to describe the operation of the nonlinear device under test (DUT), such as a communications system's PA. The polynomial model is efficient and accurate and can be used to analyze a nonlinear DUT under baseband and wideband conditions with or without memory effects.
When using a high-order polynomial model, a matrix inversion is needed for parameter extraction. Such an operation exhibits some amount of numerical instability, characterized by the condition number of the matrix. To improve the numerical stability of a polynomial model used for PA behavioral modeling, an orthogonal polynomial basis is proposed,1 with coefficient extraction enhancing the numerical stability compared to a conventional polynomial model. The objective of this approach is to provide a wide area of application for the conventional and orthogonal polynomial bases in terms of numerical stability and also provide a best-fit function for a PA's behavior under different signal bandwidths and power distributions.
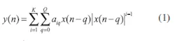
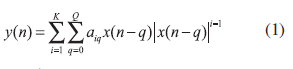
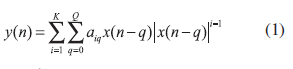
The performance of a behavioral model can be characterized by two parameters: the normalized mean square error (NMSE) and the condition number. A power amplifier's behavior can be represented by a Volterra series or as one of several special cases.1 A standard polynomial model, known as a conventional polynomial model, is shown in Eq. 1:
where
x(f) and y(t) = the input and output PA measurements, respectively,
aiq = complex valued coefficients,
K = the polynomial order,
Q = the memory depth, and
n = the uniform spacing.
Equation 1 can be rewritten as Eq. 2:
This model can be applied to a PA with short-term memory effects; such an amplifier is also known as a quasimemoryless2 amplifier. The matrix expressions of the conventional polynomial model in this case can be represented by Eq. 3:
To extract the PA's model coefficients (ai), input and output measurements are needed to determine signal transfer effects. To extract the model coefficient, the least-squares algorithm, given by Eq. 4, is used:
When amplifying wideband signals, a PA's behavior depends on some effects that influence the output transmission signal.3 To characterize a nonlinear PA with memory effects, it is possible to employ a memory polynomial model in which the instantaneous complex gain of the transmitter/ PA is a function of the actual input signal sample and a finite number of preceding input signal samples. Using the same matrix expression format as Eq. 3 and updating the input matrix, F, it is possible to obtain the model parameters using the linear leastsquares method. The same procedure employed previously for the orthogonal polynomial basis can be used, given by Eq. 5:
Given the input x(t) and the output y(t) (in-phase and quadrature, respectively) measurements of a PA, it is possible to extract the PA parameters bi:
As with the conventional polynomial model, the least-squares solution for the orthogonal polynomial coefficients is given by Eq. 7:
Continue on page 2
Page Title
Equation 7 is also suitable for use as an orthogonal polynomial model with memory. By including the delay tap as part of the input signal, the output model represented by Eq. 8 results:
The accuracy and stability of solution BLS (or ALS) is directly related to the numerical condition of the matrix ?"? (or F"F). This numerical stability is characterized by the condition number of the matrix which is defined by the ratio between the maximum and the minimum eigen values4:
The accuracy of the model can be ascertained by evaluating the NMSE between the model's output and the measured data. The NMSE is defined by Eq. 10:
What follows is an evaluation of both the conventional polynomial model and the orthogonal polynomial model. Theoretically, if higher-order polynomial terms are included in the transmitter/PA model, a normalized mean-squares error comparison is required to present a quantitative measure of the approximation accuracy.5 The normalized mean-squares error can be characterized by polynomial order, K, and memory depth, Q. For a two-channel WCDMA signal, the NMSE levels for both the conventional and orthogonal polynomial models are the same for an order of nonlinearity of K = 9 and memory depth of Q = 3 as shown in Fig. 1. As soon as the memory depth increases, the NMSE decreases. This indicates the importance of minimizing the influence of memory depth and nonlinearity in a PA model by using values of more than K = 9 and Q = 4.
The NMSE will have a smaller value for a three-channel WCDMA signal with the middle channel turned off than for a two-channel WCDMA signal. Compared to the two-carrier signal, the three-carrier signal resulted in a drop of -5 dB for the memoryless case and -3 dB for the polynomial model with memory effects. One shortcoming of using a memoryless nonlinear model is that frequency dependencies in both the linear and nonlinear responses are not modeled. This results in modeling errors for DUTs that have large frequency variations over any bandwidth with distortion or over the modulation bandwidth.
As the number of WCDMA signal channels increases, the NMSE decreases. For studies of systems using the same number of channels, the difference in the NMSE level is on the order of 1.48 dB less for the orthogonal polynomial model with memory with three channels (WCDMA 111) compared to the case of a three-channel signal with one of the channels turned off (WCDMA 101). For the memoryless models, both models yield almost the same NMSE levels for the different types of signals.
When the evaluation is performed with a four-channel signal, with two channels turned off in the middle (WCDMA 1001), the same NMSE value results for the two types of memoryless models. However, the model that includes memory effects appears to be more efficient when applied to a full four-channel signal (WCDMA 1111), predicting a reduction of more than 3 dB in NMSE for all memory depths. It can therefore be surmised that if the channel count for a WCDMA signal increases, the NMSE decreases proportionally for the models with and without memory effects, even in those cases when channels are turned off.
This comparison of amplifier behaviorial models focuses on the condition number of the matrix inversion for both types of models (conventional and orthogonal polynomial models). Analysis was performed with the different types of WCDMA signals mentioned, although the plots shown are only for the four-channel signals in order to show the effects on NMSE. The plots show results for the conventional polynomial model with memory effects and the orthogonal memory polynomial model with memory effects, using three delays taps (Q = 3) and ninth-order polynomials (K = 9) for the memory effects.
Figure 2 represents the numerical instability of the conventional polynomial model with memory effects. The most noticeable effect is the degradation in numerical stability caused by poor conditioning of the F"F matrix. The problem was not alleviated by an increase of the nonlinear order or increase in the memory depth.
Figure 3 shows the numerical instability of the orthogonal polynomial model with memory effects for the same order of nonlinearity, memory depth, and excited signals as represented in Fig. 2. It can be seen that the orthogonal basis exhibits less numerical instability compared to the conventional basis. The low condition number ensures better numerical instability. The orthogonal basis yields more meaningful results when finite precision computation of the model coefficients is carried out.
From Figs. 4 and 5, it can be seen that when changes are made to the signal property, such as number of carriers, and the power distribution, the condition number for matrix ?"? is low when orthogonal polynomial basis functions are used. This is essentially the major difference between the conventional polynomial basis (F) and the orthogonal polynomial basis (?). This is because the basis set includes both even and odd orders of nonlinearity, it is already constructed and available in a closed-form configuration. Analysis speed is also an important part of any model comparison, and for the orthogonal case, a lookup table can be constructed to accelerate processing speed. An exact diagonal for the matrix ?"? is not required because, based on its low condition number, it can be readily inverted to obtain accurate model coefficients by means of the least-squares method. In addition, the model coefficients are free of rounding-off errors.
In summary, when comparing conventional and orthogonal polynomial models for the purpose of amplifier behavioral modeling, the orthogonal case appears to provide improved numerical stability. The conventional model provides a simple means of analyzing a nonlinear PA without memory effects, although it suffers from numerical instability. The orthogonal model behaved well when handling different signal formats and different numbers of CDMA channels, as might be encountered in real-world wireless communications systems.
REFERENCES
1. R. Raich, H. Qian, and G.T. Zhou, "Orthogonal Polynomials for Power Amplifier Modeling and Predistorter Design," IEEE Transactions on Vehicular Technology, Vol. 53, No. 5, September 2004.
2. R. Raich, and G. T. Zhou, "On the Modeling of Memory Nonlinear Effects of Power Amplifiers for Communication Applications," in Proceedings of the 10th IEEE DSP workshop, Pine Mountain, GA, October 2002, pp. 7-10.
3. C. Jebali, G. I. Abib, A. Gharsallah, and E. Bergeault, "RF Modeling PA Behavior and Memory Effects," Microwaves & RF, Vol. 49, No. 6, June 2010, pp. 84-91.
4. T. K. Moon and W. C. Stirling, "Mathematical Methods and Algorithms for Signal Processing," Prentice Hall, Englewood Cliffs, NJ, 1999.
5. Chokri Jebali, Noureddine Boulejfen, Ali Gharsallah, and Fadhel M. Ghannouchi, "Performance Assessment of RF Power Amplifier Memory Polynomial Models Under Different Signal Statistics," ICECS 2009, December 13-16, 2009, Tunisia.

