Wireless communication systems continue to progress to wideband modulation formats. In particular, third-generation (3G) wireless and wireless local-area networks (WLANs) present extraordinary increases in channel bandwidth. As a result, designers are confronted with a greater divergence between the sinusoidal and modulated stimulus responses of a device. Traditional scattering (S)-parameter measurement techniques use narrowband, sinusoidal stimulus signals, resulting in the incomplete characterization of active devices. Modulated Vector Network Analysis (MVNA™) allows S-parameter measurements to be performed with complex modulated signals resulting in truer device characterization.
Modulated S-parameter analysis represents the first major advancement in network analysis since the introduction of the automatic vector-network analyzer (VNA) more than 30 years ago. This new capability, along with traditional wireless measurements such as adjacent-channel power ratio (ACPR), noise figure, and traditional sinusoidal S-parameters are contained in the ASL 3000RF measurement system from Credence Systems Corp. (Fremont, CA). This range of RF measurement capabilities combined with mixed-signal instrumentation creates a total wireless-device-characterization solution.
Wireless technologies are proving to hold the key for satisfying increasingly bandwidth-intense content. To meet these demands, increasingly efficient modulation techniques have been developed to deliver the high bandwidth consumers demand, while attempting to preserve the limited amount of spectrum. A consequence of these modulation formats has been an increase in channel bandwidths and nonconstant power-envelope signals. These trends have made amplifier design more difficult, particularly in light of higher linearity requirements coupling with the demand for better efficiency.
Figure 1 illustrates the dynamic signal envelope produced by various complex modulation techniques. The resulting ratio between the peak excursions and the root-mean-square (RMS) signal power is referred to as the peak-to-average ratio. These vary for different types of modulations, but generally speaking, the wider the modulation bandwidth, the higher the peak-to-average ratio. Today, WLAN systems in the form of 802.11 are taking hold in the marketplace, and wireless communication proponents are already discussing fourth-generation (4G) systems with 100-MHz channel bandwidth. Clearly, these difficult design trends will continue. The table highlights peak-to-average ratios for common wireless-communication systems.
S-parameters still present a crucial starting point for active-circuit designers. While many improvements have been made in network analyzers since their widespread introduction in the early 1970s, they still rely on narrowband sinusoidal stimulus signals. S-parameters are well-understood and form the basis for a vast variety of RF and microwave devices from filters to amplifiers. But some phenomena in wideband communications are not well-described with traditional sinusoidal S-parameters.
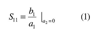
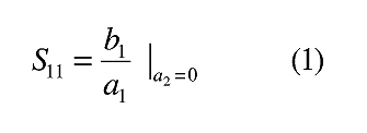
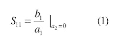
S-parameters are essentially various ratios of incident, reflected, and transmitted power. While S-parameters can be traced back to their definitions in terms of voltage or current, the difficulty in measuring these quantities at high frequencies results in S-parameters typically being determined from power ratios, as these can be measured with great accuracy, even at microwave frequencies. Figure 2 depicts the typical two-port device model which provides an intuitive understanding of S-parameter definitions.
Equations 1-4 relate the two-port S-parameter ratios for the flowgraph shown in Fig. 2:
VNA equipment measures the a1, b1, a2, and b2 signals with narrowband receivers (Rxs) and then performs the required ratioing and error correction to measure S-parameters. Figure 3 illustrates this process for the case of S21 (forward gain). In the case of modulated S-parameters, the basic tenets of network analysis still apply. The two-port model definition is still identical, the ratios are still defined in the same manor, but a complex modulated stimulus is applied to the device under test (DUT) rather than a single-tone sinusoid. Building on the sinusoidal example, Fig. 4 illustrates the ratioing process for modulated S-parameters.
The ratioing process illustrated in Fig. 4 indicates that modulated S-parameters are only calculated where significant signal energy is present. In measuring S-parameters, if ratios are performed outside of the channel, i.e., where only noise exists, then the ratios will not converge. The S-parameter ratioing must be performed with the channel bandwidth in mind. For example, in the case of IS-95 a processing (channel) bandwidth of 1.2288 MHz would be used. Figure 5 demonstrates the signal-processing bandwidth approach used for modulated S-parameters.
Page Title
MVNA requires a melding of traditional network-analysis hardware with high-speed digitizers and modulated-signal generation. In the ASL 3000RF MVNA, four digitizers simultaneously sample incident, reflected, and transmitted waves. High-speed 65-MSamples/s digitizers are employed to deliver up to 20 MHz of instantaneous-signal capture for wideband signals such as those encountered in IEEE 802.11 WLAN systems. To generate the modulated stimulus signal, an in-phase/quadrature (I/Q) generator allows arbitrary modulation signals to be generated from a computer file. Figure 6 demonstrates the overall architecture.
Signal generation is achieved with a dual-channel I/Q generator which takes modulation files and generates the baseband modulation. To enable repeatable testing, it is important to consider the effects of triggering. An advanced triggering scheme allows triggers to be generated from a particular address in the modulation file. The data can then be looped repeatedly to ensure that the same portion of the waveform is used to stimulate the device. This becomes crucial when the effects of peaks and nulls in the modulated waveform are considered in light of the amplifier's response.
The reflectometer test set forms the front end of the test system and is of a traditional network-analyzer architecture, which supports simultaneous sampling of incident, reflected, and transmitted waves. It is critical to preserve this characteristic as S-parameters depend on the simultaneity of measurements to ensure accurate phase information. Following signal separation, the first stage of downconversion reduces signal frequency to a 213-MHz center frequency with a 20-MHz bandwidth. An external synthesizer is used to generate the first local oscillator (LO). After additional signal conditioning, the signal is mixed with a 200-MHz fixed LO down to a 13 MHz final intermediate frequency (IF).
Care must be taken in final filtering to ensure that phase response in the anti-aliasing filters is smooth and reasonably linear. Filters with extremely sharp roll-off (i.e., elliptic filters) can provide greater bandwidth, but with vast amounts of phase deviation. Calibration techniques can aid in removing these effects, but any small deviations in the circuit after calibration can cause wide response variations in the calibration. Sampling is performed at 65 MHz, followed by digital-signal processors (DSPs). All the Rxs are clocked from the same sample clock through a distribution scheme that ensures simultaneous acquisition.
Following acquisition of the data in the time domain, data processing is performed to calculate the S-parameters. The acquired waveforms are converted to the frequency domain using a Fast Fourier Transform (FFT) with an appropriate windowing function. To perform 12-term vector-error correction, data must be taken from the forward and reverse stimulus directions as error-correction equations take into account terms from either direction. The raw (acquired) frequency-domain data is then ratioed based on the standard definitions of S-parameters. Finally, error-correction equations are applied to remove fixture and other nonideal effects. Data was collected from a 2.4-GHz WLAN power amplifier (PA) using the aforementioned measurement system. In the following measurements, a quadrature-phase-shift-keying (QPSK)-modulated signal was applied to the device at various power levels demonstrating the different performance obtained for modulated versus sinusoidal conditions.
The S21 data for this WLAN PA demonstrates a noticeable performance difference for this device operating at a 0-dBm power-input level (Fig. 7). This device is designed to provide a +20-dBm output level for various WLAN systems to provide enhanced mobility resulting from a stronger signal which, in turn, delivers a lower bit-error rate (BER). For this scenario, the 1- to 2-dB performance delta could easily be the difference between the part passing a performance test in the modulated case versus failing the test in a sinusoidal test. This critical difference could easily improve test yields, while still ensuring that the end user still obtains a high-quality device.
To ensure the accuracy of the measurement system, a passive device (a 10-dB attenuator) was tested. A passive device such as an attenuator should not exhibit the nonlinear effects that afflict active devices such as gate heating and current crowding. This is thought to be the primary mechanism for the differing behavior between modulated and sinusoidal S-parameters. Figure 8 demonstrates good agreement between sinusoidal and modulated stimulus using a passive device. The agreement between the attenuator value is within ±0.25 dB, which demonstrates very good agreement between the various measurement approaches. This indicates that differences measured on the PA were certainly due to unique device-behavior regimes.
Measuring 21 yields even more information about the behavior of this amplifier under modulated stimulus (Fig. 9). This is particularly useful for designs, which attempt to use phase correction methods for linearization. To date, much work has been performed in obtaining accurate amplitude-modulation/phase-modulation (AM/PM) transfer characteristics and translating them into efficient predistortion algorithms for DSP-based linearization applications. Much consternation has been expressed at the difficulty in obtaining these characteristics accurately using traditional test equipment. Traditional network analyzers do a nice job of obtaining AM/PM characteristics with sinusoidal signals, but offer no help with modulated signals. Figure 8 illustrates the differing phase response obtained for modulated and sinusoidal cases.
The results between the modulated and sinusoidal stimulus vary by up to 5 deg. This could easily mean the difference between a design passing its specifications or not. Also, a few degree changes in phase can result in a degradation in intermodulation (IM) levels of 10 dB or more. The aforementioned behavior is not exhibited with passive devices such as attenuators, as they do not exhibit the nonlinear effects inherent in transistor devices.
Credence's ASL 3000RF brings powerful new techniques to wireless device characterization and test. Modulated S-parameters provide new insight into device performance and support test conditions with "real world" complex modulated signals. This analysis methodology combines well-understood network analysis techniques with modulated signal capabilities to make S-parameters even more useful for testing today's wideband-communication systems.
