Knowing the impedance of a transmission line can be useful for many design tasks. The line may be a piece of coaxial cable that can serve a test system setup in a laboratory, if its impedance could be found. There are various techniques for determining the impedance of a transmission line, both simple and complicated and varying in accuracy accordingly. For those in need of a relatively quick method for finding the impedance of a transmission line, based on vector-network-analyzer (VNA) measurements, the technique shown here is "quick and dirty." It provides accuracy that is as good as the calibration of the VNA, typically better for lower measurement frequencies. The frequency span for which the measurements should be performed depends upon the length of the transmission line in question. This simple method represents an application of the mathematical modeling of a transmission line.
For the purpose of explaining this technique, consider a transmission line of length "l." It has a characteristic impedance of Z0 and is terminated in a load impedance of ZL at one side of the transmission line. From transmission-line theory, the input impedance, Zi , is given by Eq. 1:
Zi = Z0{L + jZ0tan(l)>/0 + jZLtan(l)>} (1)
where
= 2pl
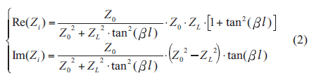
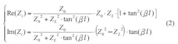
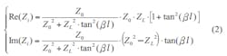
The real and imaginary parts of the input impedance can be easily calculated. If both ZL and Z0 are purely resistive, the real and imaginary parts of the input impedance can be found from Eq. 2:
While the real part of the input impedance can be nulled only if the load impedance ZL = 0 (i.e., a short circuit), the imaginary part admits three solutions as shown by Eq. 3:
hen the imaginary part of the input impedance goes to zero not only when the load is perfectly matched to the transmission line impedance (i.e., when Z0 = ZL).
It is useful to calculate the value of the real part of the input impedance when the imaginary part is zero i) = 0> as shown by Eq. 4:
This means that if measurements are performed by means of a VNA on a transmission line terminated in a load, the graphical depiction of impedance on a Smith Chart will show a circle passing by (ZL, 0), (Z02/ZL, 0) with diameter ZL- Z02/ ZL. This circle will reduce to the point (ZL, 0) if Z0 = ZL.
Figures 1 and 2 show the results for measurements of two coaxial cables having impedances of 50 and 75 O, respectively. Both of the cables are terminated in characteristic impedances of 50 O. These measurements are performed with a VNA calibrated in the same impedance as the load applied to the cable. Typically, the characteristic impedance of the system and the cable is 50 O, although in some cases, such as in cable-television (CATV) systems, the characteristic impedance may be 75 O. Since the accuracy of the VNA's calibration will determine the accuracy of these impedance measurements, lower measurement frequencies and narrow frequency spans are to be preferred for the measurements. At this point, it is important to calculate the minimum frequency span required for an impedance measurement. The minimum frequency can be chosen close to the network analyzer minimum working frequency.
Upon performing an impedance measurement on a transmission line, a complete circle will be plotted onto the Smith Chart if x l = p. This makes it possible to calculate the narrowest frequency span possible, given the length of the transmission line to be measured, using the equality shown in Eq. 5:
(2p/λ)L = p (5)
The value of λ can be found since λ = vc/f where c is the speed of light and v is the relative velocity in the medium. Parameter v can be set to unity (1), since the task at hand is to find the minimum frequency span. By remembering that the speed of light, c, is equal to 3 x 108 m/s, the frequency span can be found from Eq. 6:
fSPAN (MHz) = 150/l (6)
For example, to determine the impedance of a 30-cmlong coaxial cable, a minimum frequency span of SPANmin = 150/0.3 = 500 MHz should be used.
In the example above, the VNA can be correctly set for a minimum frequency, fmin, of 10 MHz, and a maximum frequency, fmax, of 510 MHz. Once the VNA is set and calibrated, the transmission line to be measured is connected to its test port and the circle will be displayed on the VNA's on-screen Smith Chart. At this point, two markers must be placed on the displayed Smith Chart in order to measure the impedance of the two points that are crossing the horizontal axis. One will be close to ZL, which is Re0(Zi), the other one will measure Re8(Zi). Applying the second part of Eq. 4 yields Eq. 7:
Z0 = 0(Zi)Re8 (Zi)>0.5 (7) In the example of Fig. 2 (a 75-O cable terminated in 50 O), the two markers show the impedances Re0(Zi) = 51.15 O and Re8(Zi) = 108.2 O. From Eq. 7,
Z0 = (51.15 x 108.2)0.5 = 74.4 O
Although the method is best suited to measure unbalanced lines, such as coaxial cable, it can also be applied to balanced lines. These have the same mathematical modeling but the accuracy of the measurement is generally diminished due to higher parasitic effects caused mainly by capacitive coupling between the wires and the ground, so it is even more important to set the frequency as low as possible. Furthermore, the use of a balanced-unbalanced transformer (balun) between the VNA and the transmission line is recommended. Of course, the balun must work within the chosen frequency span and must be taken into account during the calibration phase.
Continue on page 2
Page Title
As an example, a 1-m-long straight bifilar line, with known nominal impedance of 150 O, was measured with and without a balun, with the results shown in Figs. 3 and 4. Applying Eq. 7, the measured impedance with and without the balun is Z0 = (54.1 x 351)0.5 = 137.8 O (measured with the balun) and Z0 = (54.1 x 300.8)0.5 = 127.6 O (measured without the balun).
If the resistance of the conductor is not negligible, the impedance of the transmission line cannot be considered purely resistive. In this case, it is necessary to start from the general formula that is used to model the impedance of a transmission line:
Z0 = 0.5 (8)
where
R = the distributed resistance of the conductor in O/unit length;
L = the distributed inductance of the line in H/unit length;
G = the distributed conductance of the line in Siemens/unit length; and
C = the distributed capacitance of the line in F/unit length.
Equation 1 presents a formula for the input impedance of a lossless line. For a lossy line, this must be changed to the form of Eq. 9:
Zi = Z0{ L + Z0 tanh(λl)>/0 + ZL tanh(λl) > (9)
where
λ = a + j.
Here, the coefficient λ takes into account not only the phase shift = 2p/?, but also the amplitude attenuation a. In terms of RLGC, it is given by Eq. 10:
? = 0.5(10)
Equation 9 is more complex than Eq. 1, so it is not as easy to find its roots. However, it is possible to estimate the line impedance as the frequency of analysis approaches zero (DC) or a high frequency. If Ω is close to zero, the impedance of the line will be given by Eq. 11:
Z0 (DC) = (R/G)0.5 (11)
The input impedance of the terminated line can be calculated knowing that usually G will be negligible, then also λ = 0. Substituting it into Eq. 9 yields Eq. 12:
Zi (DC) Z0{ L + Z0 tanh(0)>/0 + ZL tanh(0)> } = ZL (12)
If, instead, Ω is high, the impedance Z0 will be as described by Eq. 13:
Z0 (8) (L/C)0.5 (13)
The AC losses will dominate, so the behavior will be similar to that seen for the lossless lines. This means that on the Smith Charts, a circle (or a single point) will appear. To calculate Z(8), it is possible to proceed in a similar way as used to calculate the impedance Z0 of a lossless line. The only difference is that the circle, in general, will not have its diameter on the real axis; the two impedances on the diameter will have to be taken on a segment parallel to the real axis and not just onto the real axis. Again, if these two impedances are Rea(Zi) and Reb(Zi) , Eq. 14 can be applied:
Z0 (8) a(Zi) x Reb(Zi)>0.5 (14)
Then, to measure the impedance of a lossy transmission line, the procedure is quite identical to that used for lossless lines. The VNA start frequency must be set as low as possible while the stop frequency must be set higher than the frequency found from Eq. 6. Depending on the ratio between R, and L, C on the Smith Chart an arc of circle will be displayed, terminating on a single point, going to high frequency or on a series of circles.
If the impedance measured at the low frequency is Zlow, then R = (Zlow ZL)/l. Then, to calculate the line's impedance, simply use Eq. 14. As an example for the simulations that follow, a 2-m-long lossy cable from an oscilloscope probe was measured with a VNA, with the results shown in Fig. 5. These measurement results lead to the following parameters for the scope probe cable: R = (414.3 50)/2 = 182.15 O/m and Z0(8) = 96.87 O.
The following two examples have been simulated using the free tool simulation Quite Universal Circuit Simulator (QUCS) from SourceForge.net. In these examples, lossy cables with line impedance of 100 O and distributed resistive losses of 180 O/m (in Fig. 6) and 90 O/m (in Fig. 7) were simulated. Converting the markers from S to Z results in Z0(DC) = 99.4 2.3j and Z(8) = 407.2 26.6j, so that R = (407.2 50)/2 = 178.6 O/m.
If the distributed resistance, R, in the second example is one-half the value (90 O compared to 180 O) of the first example, converting the markers from S to Z results in the details shown in Fig. 7. Again, converting the markers from S to Z yields Z0 (DC) = 230.1 + 0.006j, Za (8) = 111.5 + 1.5j, and Zb (8) = 89.6 2.7j. Then, Z0 (8) (111.5 x 89.6)0.5 = 99.95 O and R = (230.1 50)/2 = 90 O/m. This simple method of finding the impedance of a transmission line provides quick results for any length of coaxial cable or other transmission line, and can be used with an available microwave VNA of suitable measurement bandwidth.
ALBERTO BAGNASCO, RF Senior Design Engineer, Selex Communications S.p.A., Via Pieragostini, 80-16151, Genova, Italy

