Design Directional Couplers For High-Power Applications
This file type includes high resolution graphics and schematics when applicable.
Directional couplers are invaluable components for measuring the power levels of signals in microwave systems. Especially when high power levels are involved, a properly designed directional coupler provides a lower-power coupled signal that is within the power measurement range of a power meter or spectrum analyzer. By applying the finite-element method (FEM) of analysis, it is possible to effectively analyze and design asymmetrical rectangular (coaxial-microstrip and coaxial-stripline) directional couplers for high-power applications, taking into account the effect of metallic diaphragms that partially separate the coupler inner conductors.
The FEM of analysis1,2 is a simple, accurate, and efficient tool for analyzing asymmetrical rectangular (coaxial-microstrip and coaxial-stripline) directional couplers for high-power applications. In the particular designs of these studies, metallic diaphragms are used to partially separate the inners conductors. These metallic diaphragms make it possible to easily control the coupling factor. These couplers can be realized without major difficulties and feature simple, low-cost mechanical construction. As an example of the analysis and design approach, broadband directional couplers with 20-dB coupling will be realized.
Directional couplers are key components in many RF applications, in particular for measurement applications. A variety of different couplers are available from a number of manufacturers, including stripline couplers, waveguide couplers and coaxial configurations. Stripline or microstrip couplers are well suited for broadband applications; 3
unfortunately their significant losses can prevent their use when high-power handling is required. Waveguide Bethehole couplers are used in high-power applications, 4 but are not a practical solution for broadband use. Although many techniques have been proposed for this purpose, 5,6 the primary mode is limited at low frequencies by the cutoff frequency while the higher-order modes limit the upper-frequency extension. When bandwidth requirements are not critical, coaxial directional couplers using air dielectrics are a traditional solution, 7 and would be ideal for their low-loss performance and high power-handling capabilities, with their transverse-electromagnetic (TEM) field configurations ensuring zero cutoff frequency.
Another solution for high-power coupler requirements as proposed in ref. 8 is a coaxial-to-microstrip coupler (Fig. 1).
An additional type of coupler proposed in this report is a rectangular coaxial-to-stripline coupler (Fig. 2).
For these two couplers, the rectangular asymmetrical coaxial main line is coupled to a microstrip or stripline transmission line through an aperture on the ground plane of the dielectric substrate.
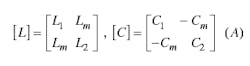
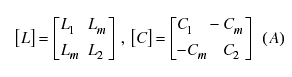
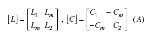
The electrical properties of the loss-less and inhomogeneous couplers of Figs. 1 and 2 can be described in terms of their primary parameters (the matrices for and ), 2 where:
Various numerical techniques can be used to determine the accurate primary parameters of the couplers. In this report, the FEM has been used for the analysis and the design of the couplers shown in Figs. 1 and 2.1,2
For asymmetrical inner conductors, 2 and using this numerical model, capacitances Ci(εr) are computed for:
(All of the other conductors are grounded.)
Setting V1 = V2 = 1 V yields a capacitance C3, so that the coupling capacitance Cm is calculated by the following relation:
Inductances Li are given in terms of capacitances, as in the case of a single quasistatic line, 2 and the mutual inductance, Lm, is calculated from the following relation:
Page Title
Using the theory presented here, the authors established a computer-aided-optimization (CAO) program to calculate the matrices and of the couplers. When these matrices are determined, it is necessary to first evaluate the inductive and the capacitive coupling coefficients, respectively, using the relations of Eqs. 4 and 5, and then analyze the coupler response using an adapted numerical model9:
To validate the numerical results, it was first necessary to study the asymmetrical rectangular coaxial-to-microstrip coupler. The parameters of this coupler are: r = 3.5 mm, h = 15 mm, D = 20 mm, d = 6.035 mm, t = 70 µm, h1 = 0.508 mm, w = 1.15 mm, εr1= 1, and εr2 = 3.2.
Figures 3 and 4 provide plots of the elements of the inductance matrix () and the capacitance matrix (), respectively, as functions of the aperture half-width-of the asymmetrical rectangular coaxial-to-microstrip coupler. In ref. 8, for the same geometric and electrical parameters, the results shown in Fig. 5 were obtained.
The correlation appears good between these recently published results and the results presented here.
Figure 6 shows the influence of the aperture half-width (s) of the rectangular coaxial-to-microstrip coupler on the inductive and capacitive coupling coefficients.
DESIGN APPROACH
The design approach was also applied to the design of a broadband rectangular coaxial-to-microstrip directional coupler. For example, Fig. 7 shows the structure of a four-port coupler.
All the ports of the coupler are matched with Zco=50 Ω. For an aperture half-width s = 2 mm and a length l = 15 mm, the resulting scattering parameters (with respect to 50 Ω were plotted in Fig. 8 from 400 MHz to 8 GHz.
The results indicate the desired 20-dB coupling occurring from 3 to 6 GHz, with minimum directivity of 8 dB.
The second type of coupler for study in this report is the rectangular coaxial-to-stripline coupler (Fig. 2). Using the numerical model developed by the authors, an analysis was performed on a coupler with the following parameters: r = 3.5 mm, h = 15 mm, D = 20 mm, t = 70 µm, d = 6.035 mm, h1 = h2 = 0.508 mm, w = 1.15 mm, εr1= 1, and εr2 = 3.2.
Figures 9, 10, and 11 show the influence of the aperture half-width s on the electromagnetic parameters (, , kl , and kc) of the rectangular coaxial-to-stripline coupler. It is apparent from these figures that the metallic diaphragm has considerable effect on the electromagnetic parameters of the rectangular coaxial-to-stripline coupler. These curves in Figs. 9 through 11 are essential for the design of directional couplers with low coupling coefficients.
FREQUENCY RESPONSE
The authors analyzed and designed two asymmetrical rectangular directional couplers using coaxial-to-microstrip and coaxial-to-stripline coupling structures in order to overcome the main drawbacks of coaxial, waveguide, and stripline couplers. These two structures represent a great improvement for high-power measurement systems, since they provide broadband operation, good directivity, and are easily designed and fabricated. To reach this objective, it was necessary to determine the electromagnetic parameters of the structures ((, , kl and kc). In the frequency range of 400 MHz to 9 GHz, the resolution of the problem is based on the quasistatic assumption and was made by applying an FEM-based approach.
The authors demonstrated that the results of couplers modeled with their FEM-based CAO program are highly correlated with other, recently published results. The design approach is valid for the characterization of primary and secondary parameters for directional couplers based on asymmetrical coupled lines. All of the plots shown here take into account the influence of the metallic diaphragms on the EM parameters of the couplers, demonstrating the effectiveness of the CAO program.
REFERENCES
- N. Benahmed and M. Feham, "Finite Element Analysis of RF Couplers with Sliced Coaxial Cable," Microwave Journal, November 2000, pp. 106-120.
- N. Benahmed, M. Feham, and S. Dali, "Design of tunable bandstop filters using multilayers microstrip," Applied Microwave and Wireless, July 2001, pp. 82-91.
- S. Uysal and H. Aghvami, "Synthesis, design, and construction of ultra-wide-band nonuniform quadrature directional couplers in inhomogeneous media," IEEE Transactions on Microwave Theory and Techniques, Vol. 37, June 1989, pp. 969-976.
- R.E. Collin, Foundations for Microwave Engineering, 2nd ed., McGraw-Hill, New York, 1992.
- H. Schmiedel and F. Arndt, "Field theory design of rectangular waveguide multiple-slot narrow-wall couplers," IEEE Transactions on Microwave Theory and Techniques, Vol. MTT-34, July 1986, pp. 791798.
- L.T. Hildebrand, "Results for a simple compact narrow-wall directional coupler," IEEE Microwave Guided Wave Letters, Vol. 10, June 2000, pp. 231-232.
- A.H. McCurdy and J. J. Choi, "Design and analysis of a coaxial coupler for a 35-GHz gyroklystron amplifier," IEEE Transactions on Microwave Theory and Techniques, Vol. 47, February 1999, pp. 164-175.
- V. Teppati and A. Ferrero, "A New Class of Nonuniform, Broadband Nonsymmetrical Rectangular Coaxial-to-Microstrip Directional Couplers for High Power Applications," IEEE Microwave and Wireless Components Letters, Vol. 13, No. 4, April 2003.
- A.R. Djordjevic, M. Bazdar, G. Vitosevic, T. Sarkar, and R.F. Harrington, Scattering Parameters of Microwave Networks with Multiconductor Transmission Lines, Artech House, Norwood, MA, 1990.
This file type includes high resolution graphics and schematics when applicable.














