Spiral SIRs Form Dual-Band Filter
Bandpass filters are essential components in wireless systems design. While the filtering function is critical in removing interference, spurious, and other unwanted signals, the physical size required by many filter designs is often a limiting factor for many systems architectures. Fortunately, the authors have developed a complact microstrip bandpass filter (BPF) that is broadband enough to handle the two bands of wireless-local-area-network (WLAN) systems in the 2.45- and 5-GHz bands. The design features spiral-shaped, quarter-wavelength stepped-impedance resonators (SIRs) in order to achieve a remarkable small size. To demonstrate the capabilities of the design approach, a second-order BPF was modeled, fabricated, and tested. It measures only 5.95 X 6.2 mm2 but provides outstanding performance in the dual WLAN bands.
In modern wireless communications, many end-user facilities, such as personal digital assistants (PDAs), laptop computers, and mobile telephones, operate according to different communications standards and in different frequency bands. For a system working in two different frequency bands, dual-band BPFs are an important building block in the transceiver circuitry. A number of different dual-band BPFs have been reported recently.1-4 For example, one research group proposed a Z-transform technique for the design of single- and dual-band BPFs, in which multiple quarter-wavelength open and short stubs were used.1
Although the approach is efficiently systematic and flexible, it can lead to BPFs that are too large for practical application. For miniaturization purposes and for achieving a wider stopband beyond the desired second passband, stepped-impedance resonators (SIRs), originally proposed in ref. 5, have been widely applied in dual-band BPF designs.2,3 In ref. 2, the electric and magnetic coupling schemes were combined to obtain the required coupling coefficients for the two passbands. In ref. 3, the researchers adopted half-wavelength hairpin SIRs to create cross-coupled dual-band BPFs. The proper coupling coefficients required for the two designed passbands can be obtained by adjusting both the coupling length and the coupling gap between adjacent resonators, as well as by using the two different SIRs.
For the work presented in refs. 2 and 3, the half-wavelength SIRs lead to a relatively large filter size compared to those based on quarter-wavelength SIRs; the half-wavelength SIRs can also result in an undesirable third passband very close to the second passband of a dual-band BPF. In ref. 4, a novel dual-behavior-resonator technique with liquid-crystalpolymer (LCP) system-on-package technology was used to design an asymmetrical dual-band BPF which can be operated in the ISM band from 2.4 to 2.5 GHz and the UNII band from 5.15 to 5.85 GHz. Unfortunately, this design suffered from inadequate DC blocking and allowed DC signals to freely pass through.
The authors have developed a dualband BPF that overcomes the limitations of this design. It is based on compact, quarter-wave SIRs and aimed at WLAN applications operating at the 2.45- and 5.2-to-5.8-GHz bands. With this essential design, a third passband (i.e., the first spurious response) can be located around a frequency higher than that of the corresponding BPF designed using half-wavelength SIRs. The resulting filter will have a wider rejection band beyond the desired second passband.
To achieve a high degree of miniaturization, the BPF's quarter-wavelength SIRs are bent into a spiral shape. A quarter-wavelength SIR BPF was fabricated on Duroid 6010 printed-circuitboard (PCB) material from Rogers Corp. (www.rogerscorp.com) in an area measuring only 5.95 X 6.2 mm2. Compared to predictions made using the High-Frequency Structure Simulator (HFSS) three-dimensional electromagnetic (EM) simulation software from Ansoft Corp. (www.ansoft.com), the measured performance is in close agreement.
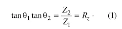
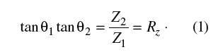
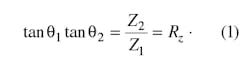
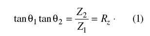
A quarter-wavelength SIR can be constructed from two transmission-line sections having different line widths (Fig. 1). The line section with one end shorted to the ground through a viahole has a characteristic impedance of Z1 and an electrical length of θ1. The line section with an open end has a characteristic impedance of Z2 and an electrical length of 2. The parallel resonance condition of the SIR was derived in ref. 5 as:
where:
Rz = the impedance ratio.
For analysis, let the nth resonant frequency of the SIR be denoted by fn. In
the dual-passband filter design, the first two resonance frequencies, f1 and f2, are usually chosen to be the center frequencies of the two desired passbands. Then, the third passband with center frequency f3 represents the spurious response. With the assumption that these two line sections have the same electrical length, i.e., θ1= θ2= θ0, the frequency ratio of f2 to f1 can be expressed as:5
and a similar analysis reveals that f3 = f2 + 2f1 for the quarter-wavelength SIRs. For the dual-band BPF with the center frequencies located at 2.45 and 5.5 GHz, Rz is found to be 2.11 for the quarter-wavelength SIRs, whose corresponding third resonant frequency is f3 = 10.4 GHz. For half-wavelength SIRs, the frequency ratio of f2 to f1 can be found as:5
An extended analysis indicates that that f3 is related to f1 and f2 by f3 = 2f2 – f1. If the BPF for the same values of f1 and f2 (2.45 and 5.5 GHz) is designed using half-wavelength SIRs, its third resonant frequency will be 8.55 GHz, which is lower than that of the BPF using quarter-wavelength SIRs. Hence, besides having the advantage of a smaller circuit size, the filter using quarter-wavelength SIRs can have an upper rejection band wider than that of the filter using half-wavelength SIRs.
The external quality factor of the tapped quarter-wavelength SIR shown in Fig. 2 can be expressed as:6
where:
B(f) = the total susceptance of the resonator seen by the feed line at the tapping point,
fi = the ith passband center frequency, and
Y0 = the characteristic admittance of the feed line.
Page Title
This susceptance is the sum of the susceptance values looking from the tapping point toward the open end and the grounded end of the quarter-wavelength SIR. The total susceptance depends on the tapping position that is physical length t or electrical length away from the via, as does the external quality factors.
For 0 <φ< θ0, the total susceptance at the tapping point of the quarter-wavelength SIR can be derived as:
From Eqs. 4 and 5, Qe as a function of frequency and the tapping-location related physical length t can be determined.
Using the proposed design approach, a microstrip BPF was designed on 0.635mm-thick Duroid 6010 substrate with a dielectric constant of 10.2 and loss tangent of 0.0023. The quarter-wavelength SIRs are bent into a spiral shape for compactness. Line segments of the spiral-shaped SIR (Fig. 3) have widths of W1(W2) and characteristic impedance of Z1 (Z2). Width W1 was preselected to be 1.2 mm for characteristic impedance, Z1, of 33.1 Ω. Width W2 was then found to be 0.4 mm after performing fine tuning in a computer simulation. Lengths l1, l2, l3, l4, and l5 were determined to be 4.9, 1.75, 4.65, 0.85, and 3.55 mm, respectively. For this experiment, the diameter, D, of the viahole was fixed at 0.6 mm.
In designing a second-order dualband BPF with SIRs, the coupling coefficient between the two SIRs for a prescribed filter function can be evaluated using the relationship:6
where:
gi = the element value of the second-
order low-pass filter prototype, and
Δi = the fractional bandwidth of the ith passband (defined as the ratio of 3dB bandwidth to the corresponding passband center frequency) of the BPF.
Figure 4 shows the simulated fractional bandwidth (BFW) versus the gap distance (d) between the two SIRs arranged in an anti-parallel coupled-line (APCL) configuration (see the inset).
For the tapped SIR at the input stage, Qei = g0g1/Δi (from ref. 6); at the output stage, Qei = g0g2/ i. For a given set of and Qe1 and Qe2, the length t (see Fig. 2) associated with the tapping location can be determined by solving Eq. 4 with the substitution of Eq. 5. Since parameters θ0 and φvary with frequency, the length t to be determined for f1 is in general different from that for f2 even if Qe1 is identical to Qe2. Thus, the average of the t value computed for f1 and that for f2 can be taken as a compromise. Because Eq. 5 was derived with all the discontinuity effects neglected, the averaged t value still must be fine tuned in a full-wave simulation (such as HFSS), in which the viaholes and all other discontinuity effects can be taken into account.
For the purpose of evaluating this design approach, a quarter-wavelength SIR dual-band BPF was designed and fabricated. Figure 5 shows simulated responses for the second-order Butterworth filter. The filter was designed with Δ1 = 8.5 percent for the 2.45-GHz band and Δ2 = 19 percent for the 5.5-GHz band. The distance d can be determined to be 0.3 mm (see Fig. 4) for both of the designed passbands. Also, the required Qe1 and
Qe2 values are found to be 16.63 and 7.44, respectively, which leads to the optimized length of t = 2 mm after fine-tuning the values in simulations performed in the full-wave simulator (HFSS). The measured fractional bandwidths (the percent of the full band over which minimum insertion loss occurs) for the 2.45 and 5.5 GHz bands are 8.16 percent (with 1.11 dB insertion loss) and 19.09 percent (with 0.78 dB insertion loss), respectively, which agree very well with the simulated data of 8.57 percent (with 0.95 dB insertion loss) and 19.27 percent (with 0.91 dB insertion loss).
The measured center frequency of the third passband is around 10 GHz, which is very close to the frequency of f3 = 10.4 GHz predicted in the previous section. The transmission zero due to the APCL section (ref. 7) helps enhance the rejection of the stopband that lies between the two passbands. The measured transmission zero (around 3.09 GHz) only slightly deviates from the simulated one (at 3.03 GHz). Figure 6 shows a photograph of the fabricated BPF circuit, which measures only 5.95 X 6.2 mm2 on the PCB. Data for the simulated and measured dual-band BPF responses are summarized in the table.
This report has proposed a compact dual-band microstrip BPF design using spiral quarter-wavelength SIRs for the ISM (2.4-to-2.5-GHz) and UNII (5.15 -to-5.85-GHz) frequency bands. The design was implemented in a size of only 5.95 X 6.2 mm2 to validate the approach. The first spurious passband around 10.4 GHz was found to be very far away from the second passband; thus, a wide upper stopband was achieved. The transmission zero produced by the APCL section of the filter was purposely located between the two desired passbands to achieve good rejection between passbands. The measured data showed not only that the fabricated BPF not only offers satisfactory response, but that those measurements agree closely with the computer-simulated results.
REFERENCES
- L.C. Tsai and C.W. Hsue, "Dual-band bandpass filters using equal-length coupled-serial-shunted lines and Ztransform technique," IEEE Transactions on Microwave Theory & Techniques, Vol. 52, No. 4, pp. 1111-1117, April 2004.
- H.M. Lee, C.R. Chen, C.C. Tsai, and C.M. Tsai, "Dual-band coupling and feed structure for microstrip filter design," IEEE MTT-S Digest, Vol. THIF-36, pp. 1971-1974, 2004.
- J.T. Kuo and H.S. Cheng, "Design of quasi-elliptic function filters with a dual-passband response," IEEE Microwave Wireless Components Letters, Vol. 14, No. 10, pp. 472-474, Oct. 2004.
- V. Palazzari, S. Pinel, J. Laskar, L. Roselli, and M.-M. Tentzeris, "Design of an asymmetrical dual-band WLAN filter in liquid crystal polymer (LCP) System-On-Package technology," IEEE Microwave Wireless Components Letters, Vol. 15, No. 3, pp. 165-167, March 2005.
- M. Makimoto and S. Yamashita, "Bandpass filters using parallel coupled stripline stepped impedance resonators," IEEE Transactions on Microwave Theory & Techniques, Vol. 28, No. 12, pp. 1413-1417, December 1980.
- J.S. Hong and M.J. Lancaster, Microstrip filters for RF/Microwave applications, Wiley, New York, 2001.
- C.-M. Tasi, S.-Y. Lee, and H.-M. Lee, "Transmission-line filters with capacitively loaded coupled lines," IEEE Transactions on Microwave. Theory & Techniques, Vol. 51, No. 5, pp. 1517–1524, May 2003.
About the Author

Leaders relevant to this article:
