Demand for bandwidth has been on the rise, pushing regulatory agencies such as the US Federal Communications Commission (FCC) to explore the use of millimeter-wave bands for commercial applications. Already, wireless local-area networks (WLANs) have been developed for millimeter-wave frequencies. In addition, many scientists1−3 have reported on requirements for millimeter-wave equipment for cable-television (CATV), as well as terrestrial and satellite-broadcast systems. A 60-GHz CATV system, for example, would enable the development of very compact transmitters (Txs) and receivers (Rxs), and allow a television set to receive signals anywhere in a room without wired connections. But millimeter-wave signals do not propagate well through the inner walls of buildings, requiring that each room have at least one antenna to satisfy the technical requirements of WLAN systems, for example.
In a Notice of Proposed Rulemaking issued in June 2002,4 the FCC signaled its intention to evaluate the potential commercial use of portions of the so-called millimeter-wave spectrum. The affected bands are 71 to 76 GHz, 81 to 86 GHz, and 92 to 95 GHz (see table). This could be a boon to the deployment of high-speed WLANs and broadband-access systems for the Internet. These bands are currently restricted to government use, and are being used in radio astronomy, space-borne cloud radars, and military applications. In addition to their possible use for high-speed Internet and network access, the FCC believes that the spectrum could also be used for other applications, including passive imaging of airport runways and imaging systems that could be used to display hidden contraband, weapons, and non-metal objects.
The table provides an overview of the WARC-79 and current (2002) US allocations for 71-to-76-GHz, 81-to-86-GHz, and 92-to-95-GHz bands. In the table, satellite services in the 71-to-76-GHz and 92-to-95-GHz bands are to transmit in the earth-to-space (uplink) direction and satellite services in the 81-to-86-GHz band are to transmit in the space-to-earth (downlink) direction. Portions of this spectrum are also allocated to the broadcasting, radio location, radio-astronomy service, and amateur services.
To make commercial millimeter-wave systems a reality, however, practical, inexpensive antennas are needed. What follows is a description of an inexpensive antenna configuration for indoor use to meet the requirements of millimeter-wave WLANs. The main idea of a millimeter-wave antenna with highly shaped beam pattern is based on the earlier work of Kumar.5−7 These report and papers describe an X-band, right-hand-circularly-polarized (RHCP) shaped-beam telemetry antenna suitable for retransmitting the radar data back to an earth terminal. The antenna has been used by the European Space Agency (ESA) and Canadian Space Agency (CSA) for Earth Remote Sensing (ERS) satellites and RADARSAT, respectively. The main idea is to use a highly shaped beam-reflector antenna hanging from a room ceiling. To compensate for free-space attenuation at millimeter-wave frequencies, the reflector antenna produces a sec2 θtype of radiation pattern in the elevation plane. The antenna provides very sharp cell (room) boundaries with negligible radiation outside the cell limits. A characteristic of sec2 θ patterns is that the cell dimensions are scaled to the antenna height. This characteristic provides a simple means to control illumination of the walls at the edge of the cell to maintain an adequate compromise between multipath effects and the need for alternative paths in case of line-of-sight blockage.
Millimeter-wave applications such as WLANs require constant electromagnetic (EM) field intensity throughout the coverage area (the room). The fixed-terminal antenna is mounted near the ceiling at the centre of the room and is required to produce sec2 θ illumination with a square region that extends from nadir (θ = 0) to (but excluding) the walls (0 < θ < qmax). The desired sec2 θ characteristic compensates free-space attenuation at each θ direction, producing constant electric-field illumination at constant height everywhere within the cell limits.
The design of the reflector profile is based on geometrical optics (GO) and the uniform theory of diffraction (UTD) to produce the required shaped beam. Optimization of the different parameters that define the antenna reflector has been carried out through software developed by Kumar.5
Page Title
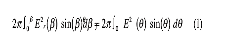
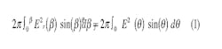
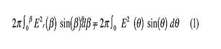
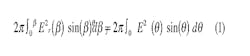
Figure 1 shows a symmetrical radiating system. In Fig. 1, the reflector equation is represented by R = f (θ), which is calculated by using the GO approximation. From the principle of energy conservation, it is possible to write:
which can be rewritten as:
which is achieved by expressing the equivalence between the incident power due to the primary feed, proportional to F(θ)sinθdθ, and the reflected power, proportional to I(β)sinθdβ.
In Fig. 1, the profile of the reflector is defined as:
Using Snell's law to the surface of the reflector, it is possible to write:
which can be rewritten as:
where:
θ and β are as shown in Fig. 1. When θ = 0, R becomes R0.
The reflector profile can be calculated from Eqs. 2 and 5, although the following parameters are required:
- In Fig. 1, the angles θm and βm correspond to the incident ray and reflected ray, respectively, at the edge of the reflector. The reflector diameter is denoted by D.
- The specified antenna radiation coverage is introduced as power-normalized value I(β) for variation of β from 0 to βm.
- The radiation pattern of the antenna feed is defined by Ef(θ), where θ varies from 0 to θm.
At first, the reflector diameter is chosen and then the profile of the reflector antenna is optimized to provide the required radiation pattern. The optimization concerns the determination of the primary feed pattern, angle θm defining the reflector edge illumination, the input minimum radiation pattern, I(θ), the angle θm corresponding to the reflector edge, and the slope beyond the maximum.
Two types of feeds are considered for the reflector to produce circularly polarized radiation patterns: a dual-mode stepped horn and a corrugated horn. A stepped circular waveguide horn was designed for operation at 62 GHz to produce a TE11 + TM11 mode at its aperture. Figure 2 shows the dimensions (in wavelength) of the dual-mode conical horn. The TE11 mode propagates in the circular waveguide and the TM11 mode is generated at the step. Both modes propagate through the conical section and the superposition of the TE11 + TM11 modes take place at the aperture.
As a comparison, a corrugated horn was also designed for operation at 62 GHz (Fig. 3). The horn, which is excited by a linear circular-waveguide polarizer, produces an HE11 mode at its aperture. The polarizer is realized through pins or dielectric fins in the circular waveguide.
In contrast, the conical horn is lighter than the corrugated horn, with lower associated production cost. The main disadvantage of the conical horn is that it is longer than the corrugated horn, although both types of antennas have been constructed and found to meet the required specifications for millimeter-wave WLANs. In construction, a dual-mode conical or corrugated horn is attached to a polarizer and mounted on the reflector through one metallic strut and a feeder waveguide which runs along the strut.
Figure 4 shows the measured return loss at the input of the WR-19 waveguide from 61.5 to 62.5 GHz. Since antenna tuning is performed by the polarizer, the need for an additional tuning mechanism has been avoided. Figure 5 shows a measured radiation pattern of the antenna at 62 GHz and a sec2 θ curve. The measured radiation pattern follows the sec2 θ curve quite well. However, there are ripples in the radiation pattern due to diffraction from the feed structure and the reflector surface.
In summary, a shaped-beam antenna can provide very uniform indoor EM patterns. This design can be very useful for the future FCC commercial-frequency bands from 71 to 95 GHz.
REFERENCES
- G. Wu., Y. Hase, and M. Inoue, "An ATM-based indoor millimetre-wave wireless LAN for multimedia transmissions," IEICE Transactions on Communications, Vol. E-83-B, No.8, August 2000.
- K. Ohata, K. Maruhashi, J. Matsuda, M. Ito, W. Domon, and S. Yamazaki, "A 500-Mbps 60 GHz-band transceiver for IEEE 1394 wireless home networks," Proceedings of the 30th European Microwave Conference, Paris, France, October 2000, pp. 289-292.
- Y. Shoji, M. Nagatsuka, K. Hamaguchi, and H. Ogawa, "60 GHz band 64QAM/OFDM terrestrial digital broadcast signal transmission by using millimetre-wave self-heterodyne system," IEEE Transactions On Broadcasting Technology, Vol. 47, No. 3, September 2001, pp.218-227.
- FCC Notice of proposed rule making, FCC, Washington, DC, 20554, FCC 02-180, June 2002, pp. 1-70.
- A. Kumar, ERS-1 X-band IDTS antenna assembly design baseline review, Spar Aerospace Ltd., Ste-Anne-de-Bellevue, Quebec, Canada, 1985.
- A. Kumar, "Highly shaped beam telemetry antenna for the ERS-1 satellite," Proceedings IEEE Montech '86 Conference on Antennas and Communications, IEEE Cat. No. THO156-0, 1986, pp. 46-49.
- A. Kumar, "Highly shaped beam telemetry antenna for the ERS-1 satellite," IEEE Proceedings, Vol. 134, Pt. H, No. 1, February 1987, pp. 106-108.
About the Author

Leaders relevant to this article:
