Match The Ports Of Differential Devices
Differential or balanced devices are widely used in communications systems for their high immunity to noise. However, they can be difficult to integrate since the widely used S-parameter matching method cannot simply be applied. Fortunately, a generic method derived from the mixed-mode S-parameter concept can be used to match differential devices. It is simple and effective, as will be borne out by verification via four-port vector network analyzer (VNA) and analysis with electronic-design- automation (EDA) software.
Impedance matching is the practice of tuning a load impedance (Z) to the optimum impedance (Zopt ) of a connected device. It requires three main steps:
1. Finding Zopt (the process is not detailed here but is usually achieved by tuning the load impedance of the circuit until the performance, i.e., the output power for a transmitter or the noise figure for a receiver, is met;
2. Measuring the Z that must be matched (this is done in the same way that the optimum impedance is measured); and
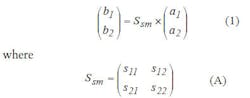
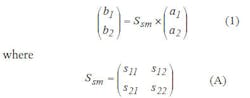
3. Determining the matching circuit that tunes Z to Zopt . To perform impedance matching on an example twoport network (Fig. 1), a VNA was used to measure the RF impedance at the network's ports, resulting in the singlemode S-parameter (Ssm) matrix of Eq. 1. The variables a1 and a2 represent incident waves while b1 and b2 represent reflected waves.
Equation 2 details the relationship between the S-parameters and impedance:
while Eq. 3 calculates the voltages and currents at the two nodes:
where vi+ and ii+ represent the forward voltage and current, respectively, and vi and ii represent the reverse voltage and current, respectively.
For differential circuits, S-parameter theory has been extended to introduce the concept of mixed modes.1,2 Therefore, Fig. 1 could represent either a two-port single-ended circuit or a single-port mixed-mode circuit. The model has two modes of propagation: common mode and differential mode, which are also referred to as even and odd mode when considering each port separately. For both modes, incident waves ac, ad, and reflected waves bc, bd, as well as voltages and currents vc, vd, ic, and id are defined using Equations 4 through 10.
then, as shown in Eq. 7, and
For the mixed-mode analysis, when referencing the signal to ground, the even and odd impedances (Ze and Zo) of each port are also defined. If the device structure is symmetrical, Ze = 2Zc and Zo = Zd /2. Mixed mode S-parameters are defined by:
and Sdd refers to the differential mode S-parameter needed to determine the differential impedance; Scc is the common- mode parameter; and Sdc, Scd are cross-mode parameters.
Each of the cross-mode parameters represent the amount of transfer from common to differential mode, and vice versa, that propagates through the circuit. For an ideal balanced circuit, mixed terms Sdc and Scd are zero.
As part of achieving impedance matching, a goal is to determine the differential-mode circuit impedance Zd. For this purpose, only the differential mode propagation must be evaluated (the common-mode propagation can be omitted). There is no RF common source (ac = 0) even if the DC supply can be present on each side of the balanced port.
Bockelman et al.2 demonstrates that mixed-mode parameters can be derived from-single mode parameters:
Therefore, Smm can be redefined as:
Assuming the circuit shown in Fig. 1 is perfectly balanced, parameters SII and S22 are equal as are SI2 and S2I . Therefore, from Eq. 14, Sdc and Scd are zero. Using Eq. 2, the differential impedance can be expressed as:
where Z0d is the differential reference impedance and is defined by
From Eqs. 14 and 16, Zd can be defined as Eq. 17.
The SKY65336-11 front-end module (FEM) from Skyworks Solutions served as an example of a device that might be matched in a differential arrangement. The normalized (50-Ohm reference) 2450- MHz single-mode S-parameters of the differential transmit input were measured and plugged into Eq. 1 to yield Eq. B.
Solving Eq. 12 for Sdd where the differential reference impedance, Z0d, is 100 Ohms yields Sdd = -0.361 + j0.374. Solving Eq. 17 for Zd yields Zd = 36.6 + j37.5 Ohms.
The differential-mode S-parameter, Sdd, was also simulated using the Advanced Design System (ADS) suite of simulation software programs from Agilent Technologies. Results were plotted on a Smith Chart (Fig. 2). The single-mode, Sparameters derived from the software simulation agreed with measurements using a four-port VNA.
The process of impedance matching involves tuning a device's port impedance to a required impedance. The use of discrete inductors and capacitors is an easy way to achieve impedance matching. If area is not a constraint, using transmission lines and stub tuner elements is a cost-competitive alternate solution. This method provides a lower loss but is not as flexible as using discrete elements since new matching means a new printed-circuit-board (PCB) design.
Using a shunt element, a balanced circuit keeps its symmetry because the element is placed between two ports. When a series component is introduced, the circuit is no longer symmetrical. When lumped elements L and C are added to the balanced load, Z (S 11 and S 22 are equal), S I'I' and S2'2' of the matched load, Zopt, are now different (Fig. 3). Based on Eqs. 12 and 14, mixed terms Sdc and Scd of the matched circuit are no longer null. The circuit symmetry can be easily realized by evaluating the impedance of the matched port, Zopt, of circuit A in Fig. 4 which is given by:
where XC and XL represent the impedance (purely imaginary) of the ideal capacitor and inductor, respectively.
Continue to page 2
Page Title
Equation 18 can be rewritten as:
which can be rewritten as:
In this case, circuit D in Fig. 4 is equivalent to circuit C in Fig. 4. When working w
ith transmission-line impedance matching, the simple transformation of the series element described above will not work. However, there is another simple technique available.
As shown in Fig. 5 (where Zi and Li denote the transmission line impedance and length, respectively), the balanced differential circuit is divided into two identical half single-ended structures. The dividing line is at the ground potential because of the circuit symmetry. The result is that the series elements of both single-ended and differential circuits are identical, although the shunt element is cut in half (including the loads, Z and Zopt).
Rather than matching Z to Zopt, the new exercise becomes matching the half circuits, or matching Z/2 to Zopt/2. Eventually, a fully differential matched circuit is derived by bringing half structures back together. Note that this technique can be also used with lumped elements (Fig. 5).
For example, a differential Z circuit and a single-ended Z/2 circuit are shown in Fig. 6 (with Z = 38 + j 37 Ohms and Z/2 =19 + j 18.5 Ohms). Parameter E in the transmission- line model refers to the electric length or phase shift (in deg.), or E = 360(L/λ ).
The simulation results shown in Fig. 7 demonstrate that the single-ended circuit is matched to Zopt/2 and, using the transformation described above, the differential is actually matched to Zopt. The Smith Chart reference impedance of the single-ended circuit is 50 Ohms, with an impedance of 100 Ohms for the differential circuit.
Differential impedance matching can be shown by an example: matching the SKY65336-11 ZigBee FEM to the model EM250 transceiver from Ember. The transmit and receive differential-port S-parameters for the SKY65336-11 and the SKY65337-11 FEMs were measured; their corresponding differential impedances are listed in the table. Various ZigBee-compliant transceivers are available with different RF port impedances. They also specify Zopt, which represents the impedance that the transceiver should see for best performance. Ember4 suggests an optimum reflection coefficient of 0.79/65 deg. (expressed in magnitude and phase) for maximum transmit power and best sensitivity. The reference impedance is 50 Ohms. This corresponds to a load impedance (Zopt) of 19.5 + j75 Ohms or 308 Ohms in parallel with an inductance of 5.2 nH.
The SKY65336-11's transmit impedance of Z = 38 + j37 is matched to the Ember transceiver's Zopt = 19.5 + j75 Ohms, with both impedances represented on a Smith Chart (Fig. 8). The two traces (shown with arrows) show the course of impedance Z by adding a shunt inductor (6.8 nH) and a series inductor (2.8 nH). The differential structure of Fig. 9 results from applying the impedance transformation approach.
Even the most compact, practical board design includes transmission lines to connect the different components.4 Traces from the source and load devices to the lumped matching elements contribute to impedance matching and must be taken into account especially at high frequencies. For a differential circuit, the two traces must be identical to maintain symmetry, which means the same length, width, and distance to ground. For such differential transmission lines, coupled microstrip lines are often used. The characteristic impedance of the differential mode in these transmission lines can be analyzed using the mixed-mode concept. Assuming the structure is symmetric, the differential, and that the coupling between the two lines is negligible, the differential and common modes propagate uncoupled, and the characteristic impedance of the differential mode is given in ref. 5: Z0d_microstrip = 2Z0_microstrip, where Z0_microstrip is the characteristic impedance of the single microstrip line.
The transmission impedance needed to connect the different devices still must be determined. Usually, a 50-Ohm trace impedance is used as a standard to interconnect single- ended devices. For differential devices, several standard impedances (e.g., 50, 75, and 100 Ohms) are widely used. PCB stack-up constraints include minimum reliable trace width and PCB cost; both contribute to the final design.
Assume a PCB stack up with H = 8 mil, dielectric relative permittivity (er) of 4.3, conductance of 59.6e+6 S/m, and thickness (t) of 1.4 mil, and loss tangent of 0.02. A 75-Ohm reference impedance transmission line design has narrower traces compared to a 50-Ohm line. That allows such a design to be spaced out more to minimize the coupling, which is always difficult to estimate. The matching circuit shown in Fig. 10 is composed of two identical 75-Ohm transmission lines, TL1 and TL2, and one shunt inductor, L1, that tune the load impedance Z/2 to Zopt/2. Since a 75-Ohm trace impedance is used for matching in this example, the Smith Chart reference impedance should also be 75 Ohms so that when a transmission line is added to the load, Z, the impedance navigates on a constant VSWR circle (Fig. 11).
To create a microstrip line with an impedance of 75 Ohms and an electrical length of 10 deg., Eqs. 19 and 20 are used to compute the width (W = 6 mils) and the length (L = 80 mils) of the microstrip line:
where H is the dielectric thickness (8 mils), er is the dielectric relative permittivity, t is the conductor thickness, f0 is the frequency (2.45 GHz), E is the electrical length (10 deg.), and T is the propagation delay. The actual single-ended structure is shown in Fig. 12. Assuming there is no coupling between the two single-ended transmission lines, the differential structure as described in the previous section is derived by combining the two singleended structures as shown in Fig. 13.
The results were compared on a Smith Chart (Fig. 14), which confirms that the differential matched load S(5,5) on the plot is Zopt (19.5 + j75 ). This point on the chart is slightly different because of the approximation of the transmission line (negligible coupling between the two microstrip lines). However, because the matched load close, the approximation has no effect on performance.
REFERENCES
1. David E. Bockelman and William R. Eisenstadt, "Combined Differential and Common-Mode Scattering Parameters: Theory and Simulation," IEEE Transactions on Microwave Theory and Techniques, Vol. 43, No. 7, July 1995.
2. David E. Bockelman and William R. Eisenstadt, "Pure- Mode Network Analyzer for On-Wafer Measurements of Mixed-Mode S-Parameters of Differential Circuits," IEEE Transactions on Microwave Theory and Techniques, Vol. 45, No. 7, July 1997.
3. PCB Design with an EM250. Ember Application Note 5059, 27 March 2009.
4. Front-End Module reference design files located at ember.com/zip/REF_DES_SKY65336_SKY65337. zip.
5. A.G. Chiariello, A. Maffucci, G. Miano, F. Villone, and W. Zamboni, "A Transmission-Line Model for Full-Wave Analysis of Mixed-Mode Propagation," IEEE Transactions on Advanced Packaging, Vol. 31, No. 2, May 2008.

