Hilbert Fractal Curves Form Compact Diplexer
He-Xiu Xu, Guang-Ming Wang, and He-Ping An
Metamaterials have shown great promise as substrates for compact RF and microwave filters. By forming composite right/left-handed (CRLH) transmission lines (TLs) on such materials, it is possible to take advantage of the dual-band properties of these structures by merit of their unique hyperbolic- linear relationship. By applying CRLH TLs in a Hilbert fractal-shaped geometry, it was possible to design a diplexer operating at 0.96 and 1.69 GHz and measuring just 33 x 33 mm. It features output-to-input isolation of better than 20.89 dB and insertion loss of less than 0.31 dB.
When left-handed (LH) bulk metamaterials were first fabricated in 2000,1 their large dimensions, complexity, and high transmission losses did not appear promising for microwave applications. However, several researchers proposed different methods based on transmission-line theory for analyzing2 and designing3 structures on LH metamaterials. Furthermore, researchers in ref. 4 proposed some general characteristics for CRLH TLs, including their capability for miniaturization and their dual-band, broadband, zero-order resonance nature.
Fractal theory has been attractive for the design of microwave components especially where miniature wideband requirements were critical. Hilbert fractal curves have been used in the miniaturization of superconducting filters,5 with a square Sierpinski fractal geometry employed in the design of complementary split ring resonators (CSRRs) to enhance the frequency selectivity to some degree.6
Conventional diplexers, which are used for connecting a receiver and transmitter to a common antenna, consist of bandpass and bandstop filters. They are typically large. A hybrid configuration is often used for classical diplexers, although it is also large, with high insertion loss and limited isolation. Diplexers based on CRLH TLs have been fabricated in multilayer configurations and have shown great promise in achieving miniaturization but without sacrificing performance.7,8 In this report, the authors have developed a compact diplexer based on CRLH TLs using Hilbert fractal curves; the diplexer was formed by combining a pair of three-port networks operating at an arbitrary pair of frequencies (at 0.96 and 1.69 GHz).
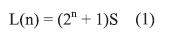
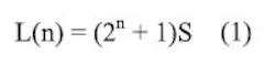
A Hilbert fractal curve can be generated in an iterative fashion by using collinear transformations, as outlined in Fig. 1. This approach consists of forming a continuous line by connecting the centers of a uniform background grid. The fractal curve is fit in a square section defined with an external side, s. By increasing the iteration level of the curve, the space between lines diminishes accordingly and the length of the curve increases according to Eq. 1:
However, there is a tradeoff between the line spacing and miniaturization, as inadequate line spacing may result in reciprocal coupling between adjacent TLs. To avoid this, the diplexer detailed here was formed by uniting four Hilbert fractal curves of first iteration order (Fig. 2).
A lossless reciprocal three-port network has two key characteristics. First, its three ports cannot be matched simultaneously. Second, any two ports can be matched if the third port is allowed to be completely mismatched. In this work, the authors designed a diplexer at 0.96 and 1.69 GHz. The lower and higher operating frequencies of the diplexer are denoted as ωL and ωH, respectively. At ωL, ports 1 and 2 are impedance matched, while port 3 is mismatched completely. Simultaneously, at ωH, ports 1 and 3 are impedance matched, while port 2 is mismatched completely. For this circuit, the ideal scattering matrices, L and H can be described as shown in Eqs. 2 and 3, respectively:
Since a CRLH TL has a dual-band nature, the characteristics described above can be realized by one three-port CRLH TL network. For a balanced configuration, the CRLH TL can be decoupled into LH and right-handed (RH) subcircuits. The LH part can be realized by adding lumped elements, and the RH portion by adjusting microstrip lines. The total phase shift of the CRLH TL, fCRLH, is the phase shift of the LH TL, fLH and that of the RH TL, fRH, described in Eq. 4, where N is the number of cells and LR, LL, CR, and CL are RH and LH equivalent lumped-element values.
The characteristic impedance of the CRLH TL, Z, should be determined from two times the termination impedance, Z0, which yields Eq. 5:
The electrical dimensions (fL, fH) of the three transmission-line sections for a conventional three-port diplexer operating at ωL and ωH, respectively, have been calculated for comparison with the novel diplexer design. The novel CRLH TL-based diplexer should have exactly the same phase response and characteristic impedance as a conventional microstrip diplexer operating at ωL and ωH, respectively, as shown by Eqs. 6a and 6b:
Inserting Eq. 4 into Eq. 6 together with Eq. 5, the lumped-element component values needed for the diplexer are given by Eqs. 7a, 7b, 7c, and 7d.
With the values of LR and CR, the lengths of the RH microstrip lines can be calculated by Eq. 8:
However, LR and CR should have positive values, thus fL and fH should satisfy the following constraint condition, or fL should be added to 2p and then inserted into Eq. 8 in order to calculate fRH by means of Eq. 9:
The above processes can be repeated to find the values of the lumped elements for the other two TL sections. Since there is no need to load LH lumped elements into the TL between ports 2 and 3, the LH inductor and capacitor values for this TL section are zero (see table). A T-type circuit has been adopted here for the compact diplexer with the aim of more conveniently matching the input and output ports, so capacitor CL should be multiplied by 2, as shown in Fig. 3.
Continue to page 2
Page Title
Based on the calculated CRLH TL parameters, a prototype diplexer was fabricated on a copper-clad F4B- 2 substrate having a dielectric constant, er, of 2.65 and thickness, h, of 1 mm. Since surface-mount-technology (SMT) chip components exhibit a natural RH parasitic effect, which introduces a small phase delay in the LH section, the length of the microstrip line was reduced to compensate for the phase delays of the SMT components. This is the main reason why the actual microstrip line is somewhat shorter than the theoretically calculated value. The parameters used in the fabrication of the prototype diplexer can be found in the table. The fabricated diplexer, which can be seen in Fig. 3, is quite compact at only 33 x 33 mm, shrinking by 81.4 percent a conventional circular hybrid configuration (p x 43.2 x 43.2 mm).
The transmission coefficients for the proposed diplexer were obtained through computer-aided-engineering (CAE) circuit simulations using Serenade from Ansoft and by measurements of the prototype, using a model 8720ET vector network analyzer (VNA) from Agilent Technologies. The results are shown in Fig. 4. The good agreement between the simulated and measured results indicates that port 2 is well matched at 0.96 GHz while port 3 is well matched at 1.69 GHz. The frequency ratio is approximately 1.8:1 (1.69/0.96). Simulated and measured diplexer reflection coefficients are plotted in Fig. 5.
The discrepancies that can be seen between the simulated and measured results at higher frequencies are mainly due to the errors in length for the Hilbert fractal curves. This results from the attempt to modify the RH portion, which is affected by the inaccurate values for LR and CR, and partly results from the inherent tolerances of lumped elements values at higher frequency band. Figure 6 shows consistent simulation and measurement results of the isolation coefficients between between port 2 and 3.
The measurement results indicate that at 0.96 GHz, port 2 offers a low-loss through path, with |S21| = -0.11 dB, while port 3 is isolated, with |S31| = -22.1 dB; at 1.69 GHz, port 3 provides a low-loss through path, with |S31| = -0.31 dB, while port 2 has high isolation, with |S21| = -23.3 dB. In addition, at 0.96 and 1.69 GHz, the isolation coefficients |S23| are -20.89 and -23.08 dB, respectively.
ACKNOWLEDGMENTS
This work was supported in part by the National Natural Science Foundation of China under Grant No. 60971118. Special thanks are also due to the China North Electronic Engineering Research Institute for the fabrication of the prototype diplexer circuit.
REFERENCES
1. D. R. Smith and N. Kroll, "Negative refractive index in left-handed materials," Physical Review Letters, Vol. 85, 2000, pp. 29332936.
2. A. Grbic and G. V. Eleftheriades, "A backward-wave antenna based on negative refractive index L-C networks," in Proceedings of the IEEE Antennas & Propagation Society USNC/URSI National Radio Science Meeting, San Antonio, TX, 2002, pp. 340343.
3. C. Caloz and T. Itoh, "Application of the transmission line theory of left-handed (LH) materials to the realization of a microstrip LH transmission line," in Proceedings of the IEEE Antennas & Propagation Society USNC/URSI National Radio Science Meeting, San Antonio, TX, 2002, pp. 412415.
4. C. Caloz and T. Itoh, Electromagnetic Metamaterials-- Transmission Line Theory and Microwave Applications: The Engineering Approach, Wiley, New York, 2006.
5. Mario Barra, Carlos Collado, Jordi Mateu et al., "Miniaturization of superconducting filters using Hilbert fractal curves," IEEE Transactions on Applied Superconductivity, Vol. 15, 2005, pp. 38413846.
6. Vesna Crnojevic-Bengin, Vasa Radonic, and Branka Jokanovic, "Fractal geometries of complementary split-ring resonators," IEEE Transactions on Microwave Theory and Techniques, Vol. 56, 2008, pp. 23122321.
7. Y, Horii, C. Caloz, and T. Itoh, "Super-compact multilayered left-handed transmission line and diplexer application," IEEE Transactions on Microwave Theory & Techniques, Vol. MTT-53, 2005, pp. 15271534.
8. Jian An, Guang-ming Wang, Chen-xin Zhang et al., "Diplexer using composite right/left-handed transmission line," Electronics Letters, Vol. 44, 2008, pp. 685U38.

