Planar Resonators Arm Tunable Oscillators
Last month, Part 1 of this article introduced novel self-injection- locked compact-coupled-planar-resonator (CCPR) oscillators. Part 2 concludes this article with more details on CCPR technology and some product examples.
Edward5 proposed a novel, compact, high-Q multilayer integrable printed helical resonator that offers an optimum ratio of loaded quality factor to unloaded quality factor (QL/Q0 ) for minimum phase noise for a given VCO topology. Figure 5 shows an integrable planar helical resonator coupled to coplanar waveguide (CPW) for VCO applications.6 But such high-Q helical resonators are limited in tuning range for given phase-noise, size, and cost requirements.5,6
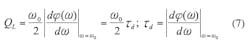
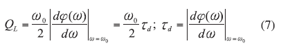
A recent publication11 described the design of an extended resonance oscillator (ERO) in which the resonator group delay is maximized for low phase noise. From ref. 6, the oscillator's loaded Q factor, QL, is
where
φ(ω) = the phase of the oscillator's open loop transfer function at a steady state and
τd = the group delay.
Figure 6 shows a typical ERO circuit using an N-way power divider and combiner where the condition for coherent power combining can be obtained by making phase difference between successive device output ports (θdn) equal to the phase delay between the corresponding device input ports (θgn).
From ref. 7, QL is proportional to the absolute value of the group delay; therefore, the main design objective for the ERO is to maximize group delay by incorporating (N >2) multiple devices. From ref. 11, the group delay τd of the N-device ERO depicted in Fig. 3 can be described by
where
Ii = the input current,
I0 = the output current, and
V0N = the voltage at the output of the Nth device.
From ref. 11, the figure of merit (FOM), F, can be given by
where
τd = the group delay and
L = the insertion loss.
The relative noise contribution of the N-device ERO circuit with respect to a two-device ERO can be given by11:
where
τDn = the group delay of the N-device ERO and
LN = the insertion loss of the N-device ERO.
From ref. 11, an eight-device ERO will yield about a 13-dB improvement in phase noise in comparison to a twodevice ERO, but there is a limitation in the number of devices for a given tuning range, noise factor, and power dissipation. The typical ERO circuit shown in Fig. 6 is limited to narrow/fixed frequency applications, sensitive to temperature variations, and requires larger real estate and power, therefore, not a promising alternative to DROs.
The new approach presented here simplifies the limitation of the ERO by incorporating a stub-based tuning mechanism to maximize the group delay for a given operating mode. The present work describes a novel topology that improves the Q factor in compact size, and also suited for MMIC process. Figures 7 and 8 show typical stub-tuned planar-coupled resonators (STPCRs). They use open and shorted stubs depending upon the injection strength for a given mode, operating frequency, and tuning range. Figure 7 shows open stubs of lengths l1 and l2 (l1,2 = λ0/4Δl), which form the self-coupling mechanism (without using a coupling capacitor). The two unequal planar open stubs exhibit resonant frequencies below and above f0, in which the lengths of the resonators are symmetrically offset by the amount Δl (Δl0). This approach provides a selfcoupling mechanism without a lumped capacitor as a coupling element. The input admittance Yi(ω) for this configuration is given by Eqs. 12-17.
where
Y0 = the characteristic admittance,
Z0 = the characteristic impedance,
vp = the phase velocity,
φ = the phase shift,
γ(ω) = the propagation constant,
Gi(ω) = input conductance, and
Bi(ω) = input susceptance.
From ref. 15, Rp can be found by Eq. 18.
From refs. 14 and 16, Cp and Lp can be given by Eqs. 19 and 20 (Fig. 4 ):
Continue to page 2
Page Title
From refs. 18, 19, and 20, and Q factor can be given by Eqs. 21-23. From refs. 18-23, Rp, Cp, Lp, , and QL are dependent on the value of the offset length Δl of the open-stub-tuned resonators. Similarly, the resonant characteristic of shorted stubs (l1,2=λ0/2Δl) is given by Eq. 24.
The expression of phase noise, according to the discussion appearing on p. 332 in ref. 9, can be given by Eq. 25, where:
m = the ratio of the loaded and unloaded Q.
From eqs. 23 and 24, m can be given in terms of the coupling coefficient by using Eq. 26:
From refs. 25 and 27, the minimum phase noise can be found by differentiating Eq. 11 with respect to m, and equating to zero for minimum value of phase noise as Eqs. 27 and 28:
where
(fm) = the ratio of the sideband power in a 1-Hz bandwidth at fm to the total power (in dB),
fm = the offset frequency,
f0 = the oscillator center frequency,
fc = the flicker corner frequency,
QL = the loaded Q,
Q0 = the unloaded Q,
F = the noise factor,
k = Boltzman's constant,
T = temperature (in degrees K),
Po = average output power,
R = tuning diode equivalent noise resistance, and
K0 = voltage gain.
From ref. 28, for low-phase-noise applications, mopt and opt should be dynamically controlled and must lie in the vicinity of 0.5 and 1, respectively, for best phase noise.
Figure 9 shows the typical layout of the DCO473542-5 (4.73 to 5.42 GHz), DXO810900-10 (8.1 to 10.9 GHz), and DXO10351090-5 (10.350 to 10.900 GHz) MCSTPR VCOs for the validation of the new approach by dynamically controlling mopt and opt for minimum noise figure. Figure 10 shows simulated phase noise for a 10-GHz MCSTPR VCO (Fig. 9) offset 1 MHz from the carrier with respect to mopt and opt.
From Eqs. 25 and 28, for different values of noise figure F (F3 > F2 > F1), the phase noise can be lowest for corresponding mopt = 0.5 and opt = 1, the plot is typically like a bathtub curve, shifted symmetrically about mopt.
Figure 11 shows a measured phase noise plot of the discrete version of the MCSTPR VCO, typically 132 dBc/Hz offset 1 MHz from the carrier, within 3 dB of the simulated results.
For validation of the novel MCSTPR approach, example tunable DCO/DXO VCOs using a SiGe heterojunction- bipolar-transistor (HBT) active device (a model BFP 740 from Infineon) were fabricated on Rogers substrate material with a dielectric constant of 3.38 and thickness of 30 mils (microstripline). Figure 12 shows a block diagram of the DCO/ DXO VCO series sources used for validating the the approach of achieving minimum phase noise performances over the operating band. The oscillators measure 0.35 x 0.35 x 0.16 in.
Figure 13 shows the layout of the tunable DXO10351090-5 VCO, where the MCSTPR sets up optimum standing waves (within the resonator) and the noise impedance transfer function over the tuning range (10.350 to 10.900 GHz) by controlling mopt (by optimizing injection-locking) and opt (by optimizing mode-tuning using open and shorted stubs).23-28
As depicted in Fig. 14, the dynamic mode-coupling mechanism exhibits 10 to 12 dB improvement in phase noise performance offset 10 kHz from 10-GHz carrier frequencies.
The measured RF power at 10 GHz is +1.2 dBm after compensating losses from the connectors and bias tee. The DXO circuit (Fig. 13) offers promising phase noise (better than 104 dBc/Hz offset 100 kHz) for broadband operation (10.350-10.900 GHz). Figures 15-31 , on the online version of this article on www.mwrf.com, show measured performance for VCOs based on stub-tuned planar resonators, including the DCO473542-5 (4730-5420 MHz), DXO810900-10 (8100 -10900 MHz), and DXO10351090-5 (10350-10900 MHz).
This new approach to designing tunable oscillators with planar resonators yields compact VCOs with excellent phase-noise performance and in configurations that can be readily adapted to modern RF integrated circuit (RFIC) and MMIC semiconductor manufacturing processes.
Continue to page 3
Page Title
REFERENCES 5. J. K. A. Everard and C. D. Broomfield, "High Q Printed Helical Resonators for Oscillators and Filters," IEEE Transactions on Ultrasonics, Ferroelectrics, and Frequency Control, vol., 54, No. 9, September 2007, pp. 1741-1750. 6. C.-G. Hwang and N.-H. Myung, "An Oscillator Incorporating a Planar Helical Resonator for Phase Noise Reduction and Harmonic Supression," JKEES, vol. 6, No. 3, September 2006, pp. 160-164. 7. A. P. S Khanna, "Review of Dielectric Resonator Oscillator Topology," Proceedings of the IEEE International Frequency Control Symposium, 1987. 8. J-Francois Gravel and J. S. Wight, "On the Conception and Analysis of a 12-GHz Push-Push Phase Locked DRO," IEEE Transactions on Microwave Theory & Techniques, vol. 54, No. 1, January 2006, pp. 153-159. 9. U. L. Rohde, A. K. Poddar, and G. Boeck, "Modern Microwave Oscillators for Wireless Applications: Theory and Optimization," Wiley, New York, 2005. 10. U. L. Rohde and A. K. Poddar, "Noise Minimization Techniques for RF & MW Signal Sources (Oscillators/ VCOs)," Microwave Journal, September 2007. 11. J. Choi and A. Mortazawi, "A New X-Band Low Phase- Noise Multiple-Device Oscillator Based on the Extended- Resonance Technique," IEEE Transactions on Microwave Theory & Techniques, vol. 55, No. 8, August 2007, pp. 1642-1648. 12. C. Florian, P. Andrew, G. Vannini, and F. Filicori, "Design of Low Phase Noise Dielectric Resonator Oscillators with GaInP HBT devices exploiting a Non-Linear Noise Model," 2007 Microwave Theory & Techniques Symposium Digest, June 2007, pp. 1525-1528. 13. K. Hosoya, S. Tanaka, Y. Amamiya, T. Niwa, H. Shimawaki, and K. Honjo, "A low phase-noise 38-GHz HBT MMIC oscillator utilizing a (λ/4δ) open stubs resonator," Proceedings of the 1999 Asia-Pacific Microwave Conference, Singapore, pp. 64-67. 14. J. Choi, M-Hung Chen, and A. Mortazawi, "An X-band Low Phase Noise Oscillator Employing a Four-Pole Elliptic- Response Microstrip Bandpass Filter," 2007 Microwave Theory & Techniques Symp. Digest, pp. 1529-1532. 15. A. P. S. Khanna, "Microwave Oscillators: The State of The Thechnology," Microwave J., April 2006, pp. 22-42. 16. J. Everard and K. Theodoropoulos, "Ultra-Low Phase Noise Ceramic Based Dielectric Resonator Oscillators," Proceedings of the IEEE International Frequency Control Symposium, June 4-7, 2006, pp. 869-874. 17. V. Walkar and I. C. Hunter, "Design of triple mode TE01 resonator transmission filters," IEEE MWC Letters, vol. 12, June 2002, pp. 215-217. 18. U. L. Rohde, A. K. Poddar, and R. Rebel, "Integrated Low Noise Microwave Wideband Push-Push VCO," U.S. Patent No. 7,088189. 19. U. L. Rohde and A. K. Poddar, "Low Cost Signal Source for Multi-Band Multi-Mode Wireless Systems," Microwave Journal, July 2007. 20. J. S. Kim, W. Wu, J. Lin, A. Verma, S. Jang, F. Ren, S. Pearton, and J. Gillespie, "A High-Efficiency GaN/AlGaN HEMT Oscillator Operating at L-Band," Proc. 2006 Asia Pacific MW Conf., Dec. 12-15, 2006, Yokohama, Japan. 21. S. Romisch and R. Lutwak, "Low-Power, 4.6-GHz, Stable Oscillator for CSAC," Proc. IEEE International Frequency Control Symp., June 4-7, 2006, pp. 448-451. 22. S. Hamano, K. Kawakami, and T. Takagi, "A Low Phase Noise 19 GHz-band VCO using Two Different Frequency Resonators," 2003 IEEE MTT-S Symp. Dig., pp. 2189-2192. 23. U. L. Rohde and A. K. Poddar, "User-Definable Thermal Drift Voltage Controlled Oscillator," U.S. Patent No. 7, 265,642 B2, Sept. 4, 2007. 24. U. L. Rohde and A. K. Poddar, "Low Thermal Drift Tunable Frequency Voltage Controlled Oscillatory," U.S. Patent No. 7 262670B2, Aug. 28, 2007. 25. U. L. Rohde and A. K. Poddar, "Tunable Oscillator," U.S. Patent No. 7, 292,113, Nov. 6, 2007. 26. U. L. Rohde and A. K. Poddar, "Tunable Frequency, Low Phase Noise and Low Thermal Drift Oscillator," U.S. Patent No. 7196591, March 2007. 27. U. L. Rohde and A. K. Poddar, "Multi-Octave Band Tunable Coupled-Resonator Oscillator," U.S. Patent No. 292,113, Nov. 6, 2007. 28. U. L. Rohde and A. K. Poddar, "Wideband voltage controlled oscillators employing evanescent mode coupledAbout the Author
Ulrich L. Rohde
Chairman of Synergy Microwave Corp
Ulrich L. Rohde is Chairman of Synergy Microwave Corp., Paterson, NJ and President of Communications Consulting Corp. Rohde studied electrical engineering and radio communications at the universities of Munich and Darmstadt, Germany. He holds a PhD in electrical engineering (1978) and an Sc.D. (hon., 1979) in radio communications. In 2004, he obtained a Dr.-Ing. Degree from the University in Berlin, Germany. In 2011, Rohde earned the Prof. Dr.-Ing. habil. degree from the University of Cottbus, Germany. Rohde has published more than 200 scientific papers and either contributed to or written a large number of books.
