Micromachined Microstrip Forms Bandstop Filters
Dr. Nadia Benabdallah, Nasreddine Ben Ahmed, Fethi Tarik Bendimerad, and Dr. Boumediene Benyoucef
Millimeter-wave frequency bands have long held the appeal of enormous bandwidths for high-data- rate, line-of-sight communications. The main limitation on the increased use of millimeter- wave components and systems has been the cost of manufacturing hardware with such small dimensions (as a function of wavelength) and with the corresponding tight tolerances. But silicon (Si) micromachining has been applied to microwave and millimeter-wave circuits in many ways since its introduction in the late 1980s and offers great potential for realizing cost-effective millimeterwave products. Micromachining, or sculpting crystal Si, can be made using either orientation-dependent (anisotropic) or orientation-independent (isotropic) etchants. Silicon micromachined, dielectric membrane supported structures, such as antennas, transmission lines, and filters, have shown improved performance and have extended the operating range of planar circuits to W-band frequencies and beyond.1-3 In addition, silicon micromachined-based packaging provides a high-isolation self-package without the need for external carriers or external hermetic shielding. This method of circuit integration provides a comprehensive technique to integrate a very large degree of functionality with extremely high density and at a relatively low cost.
The vertically layered structure of a micromachined circuit presents an excellent opportunity for threedimensional integration, resulting in the potential for substantial reductions in size. Micromachined circuits are an ideal way to integrate microelectromechanical- systems (MEMS) devices and provide components with performance and size advantages from 1 GHz to terahertz frequencies. They demonstrate their greatest promise at K-band and above. Micromachining is truly an excellent integration technology with the opportunity for an order of magnitude or more reduction in the size, weight, and cost of planar circuits, which can have a major impact on radar and communications system designs in military, commercial and space applications.
Micromachining techniques can be applied to any semiconductor substrate, but the use of Si substrate layers as the foundation of the micromachined structure has major advantages of low cost and allowing direct integration of silicon-germanium (SiGe) and CMOS circuits. Highresistivity Si also has mechanical, thermal, and electrical properties that compare well with the best ceramic substrates, and as a result has been successfully demonstrated as the substrate of choice in three-dimensional integrated circuit.4 Cost comparisons have been made for simple circuit applications and show one- and twoorders of magnitude cost reductions over the same circuit packaged in ceramic. Circuit integration based on micromachined fabrication technology promises to be the key to achieving the very demanding cost, size, weight, and simplicity goals required for the next advances in communications and radar systems commercial, space, and military applications.
The aim of this article is the analysis and the design of a simple structure for bandstop filters using multilayer micromachined microstrip asymmetrical couplers. The analysis is done using the method of moments (MoM) in two dimensions.5 This technique is adapted to study the complex configuration of the line's system, which does not have a simple analytical solution. The modeling of this structure consists in analyzing the primary inductive and capacitive matrices ( and ). When and are found, it is possible to estimate the resulting scattering parameters of the bandstop filter using an adapted numerical model.6 The results of a multilayer micromachined bandstop filter using asymmetrical strips show excellent performance in terms of rejection, size, and simplicity.
Bandstop filters are useful for a wide range of applications in eliminating unwanted signals and interference. When the low cost, size, weight, and simplicity are required, the design at high frequencies of such filters can be greatly simplified with a simple structure fabricated on multilayer micromachined microstrip substrates. The new filter architecture is well suited for rejecting unwanted carrier frequencies of a communications system.
A bandstop filter using multilayer microstrip was presented in ref. 7. Its design involves a double-layer microstrip resonator coupled to a microstrip line. The filter was designed to operate around a center frequency (f0) of 1.8425 GHz and reject unwanted carrier frequencies in the intermediate- frequency (IF) processing unit of a DCS cellular communications receiver. What follows are the analysis and the design of a shielded bandstop filter using multilayer micromachined microstrip asymmetrical coupler.
Figure 1 shows a schematic representation of the shielded membrane microstrip (SMM) line with a parallel open stub, which brings about a stopband effect around frequency f0. In microwave and millimeter-wave circuits, where space is limited, it might be preferred to use the most compact SMM configuration possible. A possibility proposed by the author of ref. 7 consists of rotating the open SMM structure and placing it on top of the access lines, with an additional layer of substrate between them.
Figure 2 gives the equivalent circuit of the bandstop filter, where its output is matched with a characteristic impedance, Zco= 50 O. Figure 2 shows that for a selected length, l, the bandstop filter consists of two coupled transverse-electromagnetic (TEM) or quasi-TEM transmission lines. The left end of the top line is connected to that of the bottom line, and its right end is kept open.
Figure 3 shows the cross section of the filter as having an inhomogeneous multilayer micromachined structure with a dielectric material (Si) of a relative dielectric constant of er3 = 11.7 and with asymmetrical microstrip construction (wi, i = 1, 2) wide and placed on membranes (SiO2/Si3N4/SiO2) of thickness (hmi, i = 1, 2) having a relative dielectric constant of er2 = 4.5. This type of multilayer micromachined bandstop filter is used here to create a low effective dielectric permittivity environment (eeff 1) in which modes will propagate at the same velocity for the asymmetrical coupler.
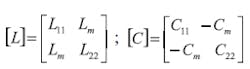
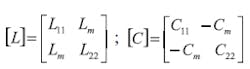
Electrically, the shielded bandstop filter using multilayer micromachined microstrip asymmetrical coupler can be described in terms of its primary parameters, the inductance and capacitance matrices, and :
The inductance matrix contains the self-inductances of the two strips, on the diagonal, and the mutual inductances between strips in the offdiagonal terms. The capacitance matrix, , accounts for the capacitance effects between the two conductive strips, and characterizes the energy storage in the filter.
Continue on page 2
Page Title
The numerical calculations of the EM parameters of the proposed bandstop filter structure were carried out with LINPAR for Windows (Matrix Parameters for Multiconductor Transmission Lines), a twodimensional (2D) Method of Moments (MoM) software for numerical evaluation of the quasi static matrices for multiconductor transmission lines embedded in piecewise-homogeneous dielectrics5. The technique used in the program is based on an electrostatic analysis. In the analysis, the dielectrics were replaced by bound charges in a vacuum, and the conducting bodies were replaced by free charges. A set of integral equations was derived for the charge distribution from the boundary conditions for the electrostatic potential and the normal component of the electric field. The MoM analysis was applied to these equations, with a piecewise-constant (pulse) approximation derived for the total charge density and the Galerkin technique.
For a length of one quarter-wavelength, i.e., l = ?/4, when and are known, it is possible to estimate the resulting scattering parameters (S11 and S12) of the analyzed filter using an adapted numerical model.6 To show the influence of the width of the top line on the properties of the bandstop filter of Fig. 3, the authors analyzed a shielded bandstop filter using a multilayer micromachined microstrip asymmetrical coupler. The filter is characterized by the following features:
a bottom strip width (w1) of 50 m;
strip thickness (ti, i = 1,2) of 1 m;
bottom material thickness (hu1) of 50 m;
top material thickness (hu2) of 50 m;
membranes with (hmi, i = 1,2) of 1.5 m, and (εr2) of 4.5;
ground-plane separation (hb) of 80 m;
(lbs) of 600 m;
(lbi) of 750 m and (a) of 900 m;
relative dielectric constant (εr3) of 11.7;
filter length (l) of 1800 m; and
rejection frequency (f0) of 40 GHz.
Figure 4 shows the segmentation of the charged surfaces used to analyze the cross section of the shielded bandstop filter using a multilayer SMM asymmetrical coupler. The features mentioned above were kept constant and the width (w2) of the top SMM line was varied as needed from (w1) to (lbs) in order to change the electromagnetic parameters (EM) and consequently the minimum of S12 of the bandstop filter. All of the electromagnetic parameters obtained for the shielded bandstop filter are presented in the table. The table clearly shows the influence of the ratio (w2/w1) on the bandstop filter's EM parameters (, ) and, consequently on the minimum module (S12) of its rejection frequency, f0. Finally, for w2/w1 = 5, the authors analyzed the filter response for the same physical and geometrical parameters mentioned above using MATPAR software.6Figure 5 provides plots of the scattering coefficient (S12) as a function of frequency for the proposed bandstop filter structure using multilayer SMM asymmetrical coupler. Figure 5 shows that a minimum value of (S12) = -90 dB is obtained at f0 = 40.25 GHz, where the -3-dB rejection bandwidth frequency is calculated as 30 GHz.
In conclusion, a simple structure for bandstop filters using a multilayer shielded micromachined microstrip asymmetrical coupler has been proposed, analyzed, and designed. The designed filter is only 900??183? 1800 m in size and can be easily designed and fabricated. The rejection bandwidth of the designed filter is between 30 and 50 GHz, with the minimum value of (S12) of -90 dB obtained at a rejection frequency (f0) of 40.25 GHz.
To achieve these results, it was necessary to determine the electromagnetic parameters of the bandstop filter using the multilayer micromachined SMM asymmetrical coupler. In the frequency range of 10 to 70 GHz, the resolution of the problem is based on the quasi-static assumption and was studied by MoM analysis. Micromachined microstrip bandstop filters can be designed at any operating frequency from 1 to 120 GHz, using the EM parameters values presented in this article.
REFERENCES
1. T. M. Weller, L.P. Katehi and G.M. Rebeiz, "High-performance microshield line components," IEEE Transaction on Microwave Theory and Techniques, Vol. 43, No. 3, March 1995, pp. 534-543.
2. R. F Drayton, T.M. Weller and L.P. Katehi, "Development of miniaturized circuits for high-frequency applications using micromachining techniques," International Journal of Microcircuits and Electronic Packaging, Vol. 18, No. 3, Third Quarter 1995, pp. 217-223.
3. L. P. Katehi, "Si Micromachining in high-frequency applications," CRC Press, Boca Raton, 1995.
4. R. M. Henderson and L.P. Katehi, "Silicon-based micromachined packages for high-frequency applications," IEEE Transaction on Microwave Theory and Techniques, Vol. 47, No. 8, August 1999, pp. 1600-1607.
5. A. R. Djordjevic, M.B. Bazdar and T.K. Sarkan, LINPAR for windows: Matrix parameters of multiconductor transmission lines, Software and user's manual, Artech House, 1999.
6. A. R. Djordjevic, M. Bazdar, G. Vitosevic, T. Sarkar, and R. F. Harrington, Scattering parameters of microwave networks with multiconductor transmission lines, Artech House, Norwood, MA, 1990.
7. D. Jaisson, "A Multilayer Microstrip bandstop Filter for DCS," Applied Microwave & Wireless, 1998, pp. 64-70.
