Coupled Stubs Support Microstrip Bandbass Filter
Filters are essential in separating and sorting signals in communications systems. Filters are essentially two-port networks that can modify the frequency response of a communications system. In some applications, such as communications satellites and mobile communications devices, it is critical that filters be designed with small size and light weight. Planar filter geometries are well suited for meeting these requirements. The approach presented here supports the design of extremely compact bandpass filters with wideband responses, without sacrificing electrical performance to achieve miniature size.
Some years ago, a miniature multi- octave bandpass filter (BPF) was reported using quarter-wavelength short-circuited shunt stubs separated with the quarter wavelength line length.1 In addition, an ultrawideband BPF was reported, although the topologies required, with large viaholes, yielded filters that were relatively large in size in order to achieve good electrical performance.2
Uniplanar technology yields filters that are small in size with significant performance improvements not possible in conventional filter topologies. The inherent decoupling of adjacent lines offers high flexibility in circuit design and miniaturization without sacrificing performance.3 Uniplanar topologies reported so far have been designed basically in coplanar-waveguide (CPW) and slot-line configurations. 3-5 Very little development on miniature wideband bandpass filters as been reported using microstrip structures.
The novel planar resonators reported here can be achieved in simple configurations with the operating principles and performance that is similar to that of uniplanar lines. To demonstrate the approach, two different filter topologies were designed and scalable lumped equivalent circuit versions were developed. To validate this microstrip design approach, one of the two filter topologies was fabricated and tested, with the measured performance compared with simulated performance. The resulting wideband BPF shows response curves that are comparable to performance achieved with uniplanar-line filter configurations.
The common operational mechanism of a planar BPF lies in the realization of multiple transmission-line resonators with quarter-, half-, or full-wavelength transmission lines at the desired center frequency linked together by means of shunt capacitive or series inductive coupling elements between the adjacent resonators for generating transmission zeros in the passband. The novel planar topologies shown in this article are implemented using this basic principle.
Figure 1 shows a simple BPF with a pair of anticoupled lines. The equivalent circuit can be considered as two tees coupled together (the inset in Fig. 1). The impedance difference between the ports and the coupled lines can further be modeled using a transformer with coupling ratio of 1:n. This structure consists of half-wavelength open-ended stubs coupled in parallel at the center frequency. One end of the coupled lines is joined together (see Fig. 1) and provides the input and output ports while the other end remains openended. Figure 1 also shows the equivalent-circuit structure and the simulated results for this design approach. As the results show, the structure resonates at a center frequency of around 6.5 GHz.
Along with the poor skirt rate, a major constraint of this topology is the large size. By using the series resonator as shown in Fig. 2, it is possible to emulate the smaller size of uniplanar design approaches, along with improved performance. This modified structure consists of three coupled lines with capacitive coupling between them. One side is terminated with a series open-ended quarter-wavelength resonator playing the role of a shorted LC resonator at the desired resonance while the other side has a single transmission line that also contains the input and output ports. The equivalent circuit for this structure is shown in the left-hand side of Fig. 3.
The results for this modified architecture show better selectivity and symmetrical response compared to the former topology. The equivalent lumped circuit consists of a series resonator at the desired center frequency along with the LC resonator combination. The lumped equivalent-circuit values were found out to be L1 = 3.15 nH, L2 = 8.5 nH, C = 0.25 pF, and C1 = C2 = C3 = 1 pF. The small electrical effects of the transmission-line parameters have been excluded, which are shown at the bends end. There is close agreement between the predicted performance for the lumped-circuit model and the distributed topology for this filter. The bandwidth difference is attributed to the contribution of different parasitic circuit elements and electromagnetic (EM) interaction involved in the microstrip realization, which are not considered in the lumped-circuit topology.
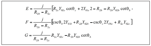
The role of the gap between the resonators on bandwidth has also been studied. A reduction of the gap (shown as G in Fig. 2) improves the bandwidth while an increase in the gap reduces the bandwidth. A decrease in bandwidth is also observed when the configuration is changed from symmetric coupled lines to asymmetric coupled
lines. The chain matrices of the three coupled lines can be shown as 1:
A = -(G/F)
B = -(1/F)
C =(F2 - EG)/F
D = -(E/F)
where
Yoik = the characteristic admittances of lines i for modes k, Xk is the electrical length and R2k = the ratio of the voltage on the center line to the voltage on the first line in mode k.
The chain matrices can be calculated assuming three quasi-transverseelectromagnetic (quasi-TEM) propagation modes in the coupled lines, namely a, b, and c.
The wideband BPF circuit was simulated using the LINMIC EM simulation software, available from Computer Simulation Technology (www.cst.com).6 Discontinuity effects, spurious modes, etc. were taken into account in the simulation. The BPF circuit was realized on 25-milthick alumina substrate (with relative dielectric constant, εr, of 9.9) and tested using an E8361A Performance Network Analyzer (PNA) from Agilent Technologies (www.agilent.com). Simulations performed based on other substrate materials, such as silicon (εr = 11.8) and GaAs (εr = 13.1) also show broadband performance. Thus, this circuit approach is suitable for both micromachined and monolithicmicrowave- integrated-circuit (MMIC) or radio-frequency-integrated-circuit (RFIC) manufacturing processes.
Measured results show insertion loss of better than 0.8 dB and a 3-dB bandwidth of 70 percent. The results are for a one-pole filter but multiple poles can be incorporated using the SIR approach. The slight shift in frequency from the simulated value is attributed to fabrication and measurement inaccuracies, which were not accounted for during the simulations. The size of the circuit at X-band frequencies is estimated to be about 8.8 x 1 mm, which can be further reduced by bending the open resonator.
In short, miniature wideband filters have been demonstrated with new sets of planar lines in microstrip configurations resembling uniplanar technology. A bandpass filter with an octave bandwidth was designed and developed using this approach. The performance of the wideband bandpass structure shows good agreement with the simulation results both at Cand Ku-band frequencies. A scalable lumped-circuit model was extracted from this planar structure to allow easy implementation of the model into commercial microwave computer-aided- engineering (CAE) software design and analysis tools. Unlike conventional filter topologies, the input and output lines are in the same plane and perpendicular to the circuit, providing an additional degree of freedom in implementation. The equivalent circuits of these new topologies were studied and compared to validate the approach. This new microstrip topology can find extensive applications in a variety of circuits and can easily be implemented in the MMIC technology. The new planar filter topology offers many inherent advantages compared to alternative design approaches, including low cost, extremely high reliability, small size, and compatibility with several different manufacturing processes, including RFIC and MMIC semiconductor processes. The authors believe that the architectures investigated in this article are only the beginning of the capabilities for this technology, and that they pave the way for many more improved structures in the future.
REFERENCES
1. C. Nyugen, "Miniaturized multi-octave bandpass filters," Antennas & Propagation Society International Symposium 1995, AP-S Digest, vol. 2, pp. 1210-1213.
2. W. Wang, Y. Lin, C.Wang, and C. H. Chen, "Highly selective microstrip bandpass filters for Ultra-Wideband applications," Proceedings of the 2005 Asia-Pacific Microwave Conference.
3. K. Hettak, N. Dib, A. Sheta, S. Toutain, "A class of novel uniplanar series resonators and their implementation in original applications," IEEE Transactions on Microwave Theory & Techniques, vol. 46, No. 9, September 1998.
4. K. Hettak, G. Delisle, and M. Boulmalf, "Simultaneous realization of mill metric-wave uniplanar structures and DC block," 1998 IEEE Microwave Theory & Techniques Symposium Digest, pp. 809-811.
5. K. Hettak, J. Coupez, A. Sheta, T. Gouquec, and S. Toutain, "Practical Design of implementation of broadband subsystems applications to a wideband hybrid magic tee," 1994 IEEE Microwave Theory & Techniques Symposium Digest, pp. 915-918.
6. LINMIC V. 6.2 +/N User's Manual, AC Microwave (now available from Computer Simulation Technology, www.cst.com).
