Engineers working on amplifier designs learned about the unilateral gain approach last month in Part 3 of this article series. That technique aims at simplifying amplifier design by providing an approximate solution, ignoring feedback in the transistor and with it the interaction of source and load impedances. This month, in Part 4, this amplifier design series will introduce a straightforward approach that achieves simultaneous conjugate matching of a stable transistor's input and output ports to its source and load.
The unilateral gain approach does arm the amplifier with a fairly simple and quick method for achieving high gain from a transistor. However, the need to design for stability requires the addition of input and/or output circuitry with the consequent need to perform arduous complex calculations of stability circles. Furthermore, addition of the stabilizing circuitry also requires recalculation of the S-parameters of the stabilized transistor. The result is that the design of a stable amplifier, even using the unilateral design method is very complex for hand calculation. While the necessary equations for hand calculation of amplifier design are provided in these articles, a circuit simulator or other software aid usually is desired to perform the considerable design labor involved in amplifier design.
Nevertheless, the unilateral design method is useful for providing initial insight into the various roles played by the input and output loads placed on the transistor. In fact, selection of these impedances constitutes the only RF circuit design options, after the choice of a candidate transistor. Given that suitable computer aid is necessary for comprehensive amplifier design, and having observed the effects of load interactions with the unilateral design, there is no further reason to ignore the feedback term S12. Rather, it is appropriate to include it from the start in any amplifier design.
The inaccuracies encountered by applying the unilateral design demonstrate that the feedback term, S12, causes the value of the input impedance required for a perfect match to be affected by the load impedance and vice versa. It might seem that finding a simultaneous set of source and load impedances to match input and output perfectly would require an endless series of cut-and-try designs to arrive at the optimum set of ZS and ZL. But this is not the case.
For an unconditionally stable transistor (or an unstable one that has been stabilized), it is possible to find a simultaneous conjugate match solution yielding an amplifier design for which the input and output ports are perfectly and simultaneously matched to the load and source. This approach accurately takes the feedback due to S12 into account. This can be accomplished at any frequency for which S-parameters of a stable or stabilized transistor are available and provides the maximum stable gain (MSG) of which the transistor is capable at that frequency.
The solution1 for the reflection coefficient, ΓSM, to be presented by the source to the stable (or stabilized) transistor is
where:
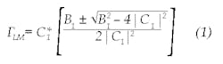
At the output port, the simultaneous match load, ΓLM, is given by
where:
For an unconditionally stable transistor, the minus signs (where the option is ± in the above expressions produce meaningful results. When provided with ΓSM and ΓLM terminations, the transistor has its maximum gain,1 GTmax, given by
Interestingly, this gain expression, after some complex algebra, also can be written as
where:
K = the stability factor previously defined in Part 3.
When K < 1, the two-port is potentially unstable. At a given frequency, the MSG is a figure of merit for a transistor. However, it should be noted that when providing this gain, it borders on being conditionally unstable. The maximum stable gain occurs when K = 1. Then
The MSG is easily calculated from the S-parameters, and transistor suppliers are fond of citing the MSG for their transistors, because it gives the highest applicable gain for the device. However, if operated with this gain, the device may be on the threshold of oscillation. Practical amplifier designers must back away from this gain by a safe margin to ensure stability.
The computations of ΓSM and ΓLM , or the corresponding source impedance, ZSM, and load impedance ZLM are complex. However, these calculations can be performed using network simulation software. For the stabilized 2N6679A transistor, the results in impedance form are shown in the table.
The simultaneous conjugate match impedances, ZSM and ZLM are those that must be presented to the transistor at source and load respectively. One does not form the complex conjugates of these impedances. Notice that they are similar but certainly not identical to the ZS and ZL values used for the unilateral gain design.
The source and load impedances at 1 GHz according to the unilateral design approach are ZS = 10.494 + j9.796 (omega) and ZL = 88.493 + j46.646 (omega). The source and load impedances at 1 GHz given by the simultaneous match design method are ZSM = 4.144 + j6.335 (omega) and ZLM = 54.355 + j117.564 (omega).
As an example of the application of the simultaneous match design to the stabilized 2N6679A transistor, the Q matching method of transforming the 50-(omega) source and load to the required transistor load impedances was applied. The resulting matching circuitry is shown in Fig. 1 while the performance for this circuit is shown in Fig. 2. The performance plots show that the input and output matches, S11 and S22, exhibit return loss of 40 dB at 1 GHz, essentially providing perfect input and output matches. The gain is 21.1 dB at 1 GHz.
The expected gain can be found from the magnitudes of S21 and S12 along with the K factor. At this frequency, the stabilized 2N6679 has |S21| = 6.25, |S12| = 0.028, and K = 1.151. Applying Eq. 5 yields
This is also the value obtained from the circuit simulation of Fig. 1.
Maximum gain may not always be a critical performance requirement for a given amplifier design. For high-power amplifiers, for example, generous gain is important, but should also be achieved at the highest possible output power. This requires specifying a particular load impedance for the amplifier, a method corresponding to the operating gain design approach that will be presented next month in Part 5 of this amplifier design series.
REFERENCE
- Theodore Grosch, Small Signal Microwave Amplifier Design, Noble Publishing Corp., Norcross, GA, 1999.
