Bandpass Filter Integrates Notch
Lei Chen, Feng Wei, Yu Shang, YongXia Yang, ChangJia Gao
Ultrawideband (UWB) technology provides the means for high-datarate communications within the 3.1-to-10.6- GHz band authorized for UWB by the United States Federal Communications Commission.1 In order to best use that frequency band, filtering is essential. A proposed bandpass filter provides the bandwidth needed for UWB communications while incorporating a notch to reject any unwanted radio signals falling in the band. The notched band is introduced by adding asymmetric loading stubs to the arms of an interdigital hairpin resonator. To improve out-of-band performance, a semi-circle defected ground structure (S-DGS) and a semi-circle stepped-impedance shunt stub (S-SISS) are cascaded in the filter design. The proposed filter has a passband of 3.1 to 10.6 GHz and a notched band of 6.5 to 6.6 GHz. A good match was achieved between simulated and measured performance for the UWB bandpass filter.
Bandpass filters are important components for communications systems in general, and a wide range of bandpass filter methodologies are available for UWB designs, including composite lowpasshighpass topologies2; cascaded broadside-coupling topologiesL3; microstrip/CPW hybrid structures4,5; and multiple-mode resonator (MMR) designs.6-9 These bandpass filters offer good passband performance. However, for use in an UWB system, a bandpass filter must also include a notched band within the passband to avoid interference from narrowband radio signals.
An UWB bandpass filter was realized by introducing an embedded open-circuit stub in a coupled-line bandpass filter design.10,11 This approach can effectively reject any undesired narrowband radio signal. However, the structure is large and suffers from poor out-of-band performance. Based on previous work, a new structure was implemented as reported in this article. The newly designed UWB bandpass filter is composed of two cascaded interdigital hairpin resonator units with asymmetric loading stubs, one S-DGS and one S-SISS along with the transmission line. The lengths and the widths of the stubs can control the notched band at a desired frequency. By appropriately choosing the dimensions, the filter can achieve a wide passband, wide stopband, and a notched band simultaneously. Measured results show that the working passband frequency is 3.1 to 10.6 GHz while the notched band covers 6.5 to 6.6 GHz with 20-dB attenuation. Return loss is less than 15 dB in the passband with upper-stopband attenuation of 15 dB through 20 GHz.
Figure 1(a) shows the geometry of a conventional microstrip interdigital hairpin resonator unit. The resonator unit is composed of three identical coupling fingers along with microstrip line. The coupling-finger length (L1) is first chosen to be one-quarter wavelength at the passband center frequency, i.e., 6.85 GHz. The width of the coupling finger is W2 and the distance between the adjacent coupling fingers is W3. The proposed hairpin resonator unit with asymmetric loading stubs is shown in Fig 1(b). The length and width of the loading stub is Ls and Ws respectively. The frequency characteristics of the two interdigital hairpin resonators are simulated by HFSS 10.0 simulation software from Ansoft, as shown in Fig. 2. The simulation results show that a notched band is introduced by adding an asymmetric loading stub on one arm of the resonator, but the stopband of the proposed filter is relative narrow, which limits its application.
To investigate the asymmetric loading stub section, the effects of the loading stub parameters on the frequency characteristics of the resonator unit were simulated. The loading stub length was selected to be one-quarter wavelength with respect to the center frequency of the notched band. Figure 3 shows the simulated S-parameters of the interdigital hairpin resonator unit for various values of Ls. The structure is simple and flexible for the purpose of blocking any unwanted existing radio signals that may appear in the UWB filter's passband. The center frequency of the notched band is inverse proportional to the length of the loading stub.
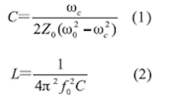
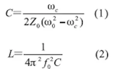
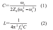
A DGS is essentially a periodic etched defect on a ground plane; it can provide good stopband characteristics in a filter structure. A steppedimpedance shunt stub can also provide good stopband performance. As Fig. 4 shows, the proposed structure here incorporates a novel S-DGS and S-SISS unit fed by a 50-Ohm microstrip line. The conventional dumbbell-DGS shape consists of two rectangular defected areas and one connecting slot on the backside metallic ground plane. The S-DGS structure proposed here is composed of two semicircular defected areas and one narrow connecting slot on the ground plane. The frequency characteristic of the S-DGS unit can be modeled by a series-connected parallel inductive-capacitive (LC) resonance circuit in the transmission line (Fig. 5). The S-DGS structure has a better stopband characteristic compared to a conventional DGS. The equivalent capacitance and inductance of the circuit can be extracted by using circuit analysis theory based on Eqs. 1 and 2.
where
fc = the 3-dB cutoff frequency and
f0 = the resonant frequency of the stopband.
The S-SISS unit consists of two identical semicircles and one connecting stub; it can be modeled by a shuntconnected series LC resonance circuit. In general, the performance of the S-DGS and S-SISS structures can be controlled by controlling the radius of the semicircle. Figure 6 shows the attenuation properties of the S-DGS and S-SISS structures with different radii. Computer simulation results show that the cutoff frequency decreases as the radius increases.
For the design of an UWB bandpass filter with integral high-rejection notch band and good passband and stopband performance, two interdigital hairpin resonator units, one S-DGS and one S-SISS, were cascaded along with a transmission line. The S-DGS unit is on the backside metallic ground plane. The asymmetric loading stub is used to introduce the notch band. By changing Ls and Ws, it is possible to achieve different notch bands. The S-DGS and S-SISS units are used to improve the out-of-band performance. Figure 7 shows the configuration of the proposed UWB bandpass filter. Again, a simulation was performed using the HFSS V. 10 software. The filter was fabricated on RT/Duroid 5880 substrate material from Rogers Corp. The substrate had a thickness of 1.0 mm and dielectric constant of 2.2. The dimensions of the various parameters were as follows: W0=2.4 mm, W1=0.15 mm, W2=0.5 mm, W3=0.1 mm, L1=7.2 mm, L2=5.4 mm, R1=0.9 mm, and R2=0.8 mm. The length and width of the loading stub were Ls=4.1 mm and Ws=0.2 mm.
The performance of the fabricated UWB bandpass filter was measured with a model N5230A vector network analyzer (VNA) from Agilent Technologies. Acceptable agreement was achieved between the simulated and measured results, as shown in Fig. 8. Deviations between the simulated and measured results were caused by the SMA connectors and manufacturing errors. It was found that the working passband frequency of the proposed UWB bandpass filter was 3.1 to 10.6 GHz while the frequency of the notched band was 6.5 to 6.6 GHz. The insertion loss was less than 1.5 dB in the passband. The measured rejection was more than -30 dB at the midband frequency of the notched band and upper stopband with 15-dB attenuation to 20 GHz. A metallic enclosure used with the filter had little effect on the filter's response, with only a slight shift downward in frequency for the cutoff frequency of the upper stopband.
Continue to page 2
Page Title
In conclusion, a compact UWB bandpass filter with a highly rejected notched band and improved out-ofband performance was proposed and implemented. By tuning the parameters of these units, the proposed UWB bandpass filter can achieve a wideband passband while also offering a narrow notch within the passband. The measured results for the fabricated filter were in good agreement with simulated performance. The filter's simple planar geometry makes it compatible with existing microwave-integrated-circuit (MIC) fabrication methods.
REFERENCES
1. United States Federal Communications Commission, "Revision of Part 15 of the commission's rules regarding ultra-wideband transmission systems," Tech. Rep. ET-Docket 98153, FCC0248, Federal Communications Commission, April 2002.
2. W. Menzel, M. S. R. Tito, and L. Zhu, "Low-loss ultrawideband (UWB) filters using suspended stripline," in Proceedings of the 2005 Asia-Pacific Microwave Conference, Vol. 4, 2005, pp. 21482151.
3. K. Li, D. Kurita, and T. Matsui, "An ultra-wideband bandpass filter using broadside-coupled microstrip-coplanar waveguide structure," in IEEE MTT-S International Digest, 2005, pp. 675678.
4. N. W. Chen and K. Z. Fang, "An ultra-broadband coplanar- waveguide bandpass filter with sharp skirt selectivity," IEEE Microwave and Wireless Component Letters, Vol. 17, No. 2, February 2007, pp. 124126.
5. N. Thomson and J. S. Hong, "Compact ultra-wideband microstrip/coplanar waveguide bandpass filter," IEEE Microwave and Wireless Component Letters, Vol. 17, No. 3, March 2007, pp. 184186.
6. L. Zhu, W. Menzel, K. Wu, and F. Boegelsack, "Theoretical characterization and experimental verification of a novel compact broadband microstrip bandpass filter," in Proceedings of the Asia-Pacific Microwave Conference, 2001, pp. 625628.
7. L. Zhu, S. Sun, and W. Menzel, "Ultrawideband (UWB) bandpass filters using multiple-mode resonator," IEEE Microwave and Wireless Component Letters, Vol. 15, No. 11, 2005, pp. 796798.
8. L. Zhu and H. Wang, "Ultra-wideband bandpass filter on aperturebacked microstrip line," Electronics Letters, Vol. 41, No. 18, 2005, pp. 10151016.
9. H. Wang, L. Zhu, and W. Menzel, "Ultra-wideband (UWB) bandpass filters with hybrid microstrip/CPW structure," IEEE Microwave and Wireless Component Letters, Vol. 15, No. 12, 2005, pp. 844846.
10. H. Shaman and J. S. Hong, "Ultrawideband (UWB) bandpass filter with embedded band notch structures," IEEE Microwave and Wireless Component Letters, Vol. 17, No. 3, 2007, pp. 193195.
11. H. Shaman and J. S. Hong, "Asymmetric parallelcoupled lines for notch implementation in UWB filter," IEEE Microwave and Wireless Component Letters, Vol. 17, No. 3, 2007, pp. 516-518.

