Low-noise amplifiers are vital for high signal sensitivity in communications receivers. Although the focus of previous articles in this series has been on achieving matched conditions for high and stable gain from a given transistor, this installment will stress a design method—the available gain design approach—for obtaining low noise figures in transistor amplifiers.
The available gain design method uses an optional source impedance and a matched load to achieve conditions for good low-noise performance. This method is the complement of the operating gain method covered last month. The source impedance, ZS, is selected and then the output is matched to the corresponding ZOUT, making ZL = ZOUT*. Otherwise, the procedure is the same. Equivalently, in terms of reflection coefficients, with the available gain approach, the source reflection coefficient, ΓS, is selected and then the output is matched, making ΓL = ΓOUT*.
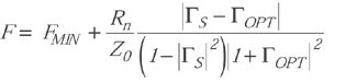
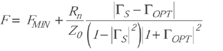
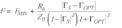
Transistors require an optimum source reflection coefficient, ΓOPT, or equivalently an optimum source impedance, ZOPT, at their input in order to deliver the lowest noise factor, FMIN. Since source reflection coefficient (or equivalently, source impedance) is specified, the available gain design method is used for low-noise amplifiers. If the source is not equal to ΓOPT, then the actual noise factor (F) of the amplifier is given by1
where:
Rn = the correlation resistance and
Z0 = the characteristic impedance of the system in which ΓOPT is
measured.
The values of FMIN, ΓOPT, and Rn are specified by the transistor manufacturer for each test frequency. The values of ΓS that provide a constant noise factor value, F, form circles on the Smith Chart, just as constant gain loci are circles on the Smith Chart. Given FMIN, ΓOPT, and Rn, these circles can be plotted for various values of F in excess of FMIN for a given transistor and frequency. The circles1 have centers at
and radii
where:
As an example, consider the design of an amplifier for operation at 2000 MHz. To obtain a very low noise figure, suppose that a gallium-arsenide field-effect transistor (GaAs FET) is selected, in particular the NE67300 from NEC/California Eastern Laboratories (Santa Clara, CA) with the noise and S-parameters listed in the table.2 The data for the unpackaged device (transistor chip) are used for this example.
The gain (S21), minimum noise figure (NFMIN), and actual noise figure (NF) when no matching is provided are shown in Fig. 1. Without the necessary circuitry to present ΓOPT to the input, the transistor has a much higher noise figure than the minimum of which it is capable. At 2000 MHz, NF = 2.0 dB while NFMIN = 0.4 dB.
From Fig. 1 and the data in the table, it is evident that an amplifier built using the NE67300 could yield a noise figure as low as 0.4 dB at 2 GHz. However, the device is potentially unstable over the 2-to-18-GHz bandwidth, as seen from the values of K and B1 in Fig. 2.
Therefore, before embarking on the amplifier design, it will be necessary to add some circuit elements to improve the stability conditions. Often, it has been found that the use of an inductor in series with the common lead, in this case the drain, produces negative feedback that improves stability, tends to make ΓOPT and Γ1M (the source reflection coefficient for maximum gain) move closer to each other, and does not greatly increase NFMIN. Figure 3 shows the result of using a 1-nH inductor for this purpose.
The drain lead inductor has improved the stability in that the K factor is much closer to unity over a broad portion of the gainful bandwidth of the transistor. This has been obtained at the expense of gain; however, some of the lost gain can be recovered by tuning the output. Since the circuit is not yet fully stabilized, particularly at the operating frequency of 2000 MHz, some resistive damping can be added to the output of the transistor. Placing resistive elements in the input circuit would more seriously reduce NFMIN. Figure 4 shows the results of adding a series resistor-capacitor (RC, with R =300 Ω and C = 10 pF) circuit across the output to provide increasing damping with frequency.
It can be seen that the transistor is almost stable over the entire bandwidth for which it has gain. It is not always necessary to obtain unconditional stability for a low-noise amplifier because its source and load impedances usually are well controlled and not subject to variation. However, this example shows how stability can be improved without sacrificing much of NFMIN. For the circuit of Fig. 4, NFMIN is only 0.5 dB. The new value of ΓOPT for this network is 0.785 41.4 deg. The corresponding impedance, ZOPT = 43.9 +j118.4 Ω, and the constant NF circles are shown in Fig. 5.
It can be seen from Fig. 5 that the ΓOPT and Γ1M source reflections are fairly close to each other. Even so, it would require a sacrifice of 0.5 dB in noise figure to match to Γ1M, therefore, to minimize the noise figure, the 50-Ω source impedance will be transformed to ZOPT. This is done by first transforming 50 Ω to the required 49.3 Ω using an impedance inverter of 46.85 Ω, and then adding a series inductor of 9.43 nH. With this change in the input circuit, the input impedance looking into the output is ZIN2 = 162.1 − j75.54 Ω. To transform the 50-Ω load to the complex conjugate of ZIN2, it is necessary to first transform 50 Ω to 162.1 Ω using an impedance inverter of 90.0 Ω and then adding an inductance of 5.86 nH. The final low-noise amplifier circuit and performance are shown in Fig. 6. The completed low-noise amplifier circuit has 13.1 dB of gain and a noise figure of 0.5 dB at 2 GHz.
So far, this transistor amplifier series has considered designs centered at one frequency. Next month, Part 7 of this eight-part series will switch to broadband amplifier designs and show how to create a circuit that operates with nearly flat gain over a 20-to-1 bandwidth.
REFERENCES
- Theodore Grosch, Small Signal Microwave Amplifier Design, Noble Publishing Corp, Norcross, GA, 1999.
- "RF and Microwave Semiconductors (the CD), Selection Guide and Design Parameter Library," California Eastern Laboratories (CEL), Santa Clara, CA, www.cel.com. This compact disk contains the company's transistor catalog and data for thousands of transistors. In addition, the free disk offers application notes describing transistor amplifier design.
