Linear-Beam-Based RF Amplifiers Suffer From Electron Emittance
Current research in vacuum RF amplifiers focuses on attaining and reaching beyond the millimeter-wave, submillimeter-wave, and even terahertz frequencies. However, as these devices push to higher frequencies, electron-emittance effects cause RF defocusing in the high-power energy-extraction sections of amplifier circuits.
Adapting techniques used in high-energy physics research for RF amplifiers, David R. Whaley with L-3 Communications in Santa Clara, Calif., was able to devise enhancements to several formulated expressions. In doing so, a more accurate prediction of electron-beam behavior was possible for microwave to terahertz frequency signals. In particular, Whaley’s method reduces the time-consuming numerical analysis and optimization process associated with electron-beam behavior.
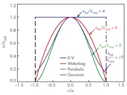
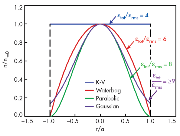
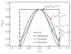
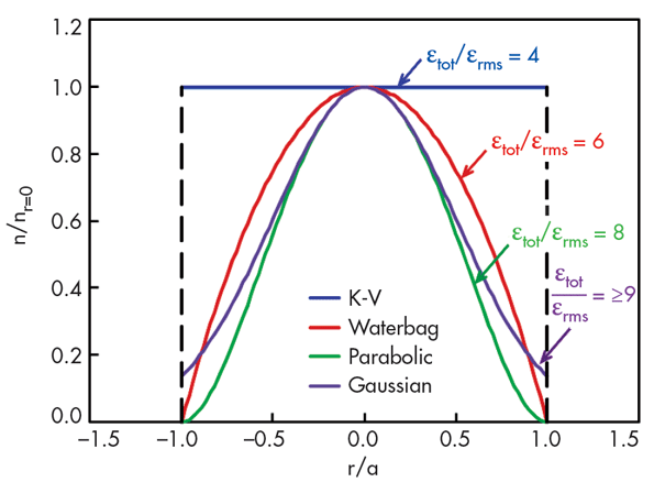
Increased levels of interception current and beam expansion are seen as a product of the increased radial space charge forces around the bunched sections of vacuum RF amplifiers. Using expressions to quantify the electron emittance effects for cold electron beams, Whaley developed numerical simulations that could be applied to thermionic and field-emitter cathodes.
The general formulation developed by Whaley was confirmed using numerical optics simulation techniques for a diverse number of beam properties commonly observed in vacuum RF amplifier devices. The formulated expressions’ accuracy also was confirmed with respect to current, magnetic fields, beam size, emittance, and RF frequency regimes for both device types. See “Practical Design of Emittance Dominated Linear Beams for RF Amplifiers,” IEEE Transactions on Electron Devices, June 2014, pp. 172.
About the Author
Jean-Jacques DeLisle
Jean-Jacques graduated from the Rochester Institute of Technology, where he completed his Master of Science in Electrical Engineering. In his studies, Jean-Jacques focused on Control Systems Design, Mixed-Signal IC Design, and RF Design. His research focus was in smart-sensor platform design for RF connector applications for the telecommunications industry. During his research, Jean-Jacques developed a passion for the field of RF/microwaves and expanded his knowledge by doing R&D for the telecommunications industry.


