Spectrum is limited, but innovative communications formats using ultranarrowband (UNB) modulation may provide relief for added wireless services. UNB modulation formats have their limitations, of course, and it is important to understand the performance capabilities of UNB modulation and how systems can differ by their use of abrupt versus gradual changes in phase. In order to better understand UNB modulation, the relationship between phase modulation and frequency modulation will be examined, and simulated and measured results compared. In addition, the dependency between Fourier sinx/x components and the bit error rate (BER) will be explored, along with analysis of a zero-group-delay filter as instrumental to the implementation of practical UNB formats.
The basic concept of UNB modulation involves achieving almost infinite change or modulation in frequency ( f) for a short duration, such as a single cycle at RF. Practical implementations of UNB systems have incorporated minimim-sideband (MSB) modulation and very-minimum-shiftkeying (VMSK) modulation, where the modulated information ideally appears as a single spectral line.1
In spite of its ideal appearance, any UNB format must comply with Nyquist theory. For example, Fig. 1(a) offers a modified view of a popular presentation on UNB modulation, with the left-hand side showing abrupt phase changes while the right-hand side shows gradual phase changes. Figure 1(b) shows the frequency modulation (FM) that results from the phase modulation of Figure 1(a)). An abrupt change in phase produces instantaneous changes in frequency while gradual changes in phase yield constant changes in frequency. In MSB modulation, a coded baseband is used with abrupt edges, with rise/fall times as close to zero as possible. Of course, some finite rise time is inevitable, due to slew rates in integrated circuits (ICs) and resistive-capacitive (RC) delays. Typically, a UNB system makes use of almost infinite FM during one cycle of the intermediate frequency (IF).1 For efficient UNB systems, with the phase modulation of Fig. 1(c) yielding the frequency modulation of Fig. 1(d), the rise/fall time is assumed to be one-half an IF cycle. The cycle of the carrier is Tcarrier = 1/Fcarrier.
The frequency (F) resulting from a modulating input signal is F = Fcarrier + Δ f, where the modulation frequency, Δ f, can be calculated from the basic relationship ω t = φ = 2 Πft. The modulation frequency can also be rewritten in derivative form as Δ f = Δφ/2Πt. The rise/fall time, Δ t, is equal to one-half a carrier cycle and is fixed by the circuit parameters. During the rise/fall times for modulation formats with abrupt phase modulation, there is a Δφ/Δt value that causes large modulation frequency, f, for a very short duration (about one-half cycle at RF), so that F = Fcarrier + Δ f = Fcarrier + Δφ/2ΠΔt = Fcarrier + Π /2(Tcarrier) = 2Fcarrier.
At other times, when the changes in phase are gradual or constant, Δφ = 0 and the frequency is constant at F = Fcarrier. In this case, the modulated waveform is shown in Fig. 2, with the asterisk denoting a modulated waveform and the dot marking an unmodulated waveform. The modulated waveform employs continuous phase modulation with two kinds of frequencies, Fcarrier and 2Fcarrier, which includes Bessel products; the phasor vector sum is shown in Fig. 3. A phase detector using Fcarrier as a phase reference will detect phase changes as positive and negative voltages, but will ignore large f. In this case, Δφ is considered to be zero for most of the bit (information) period.
For modulation with an abrupt phase change as shown in the lefthand side of Fig. 1(c), when Δt →0,, then Δf → ∞ , so the instantaneous frequency is F = Fcarrier + Δf → ∞ shown in the left-hand side of Fig. 1(b), at time Δt →0 or t = 0. The modulated wave is indicated by the dot in Fig. 4. Although an instantaneous near-infinite frequency modulation is produced, the duration, t, is zero, and the modulated result only includes one kind of frequency component, Fcarrier. This is the familiar form of digital phase modulation, not including Bessel products. The phasor vector sum is shown in the right-hand side of Fig. 4. The phase modulation in this case is not related to the Bessel products, with no Bessel products other than J0.
The power spectral density (PSD) for 2PSK modulation (MSB modulation with an abrupt change in angle of 90 deg.) is shown in Fig. 5(a). The highest point of continuous spectrum is about 30 dB. The data rate is 270 kb/s with non-return-to-zero (NRZ) baseband coding. The continuous spectrum has been called the sum of all Fourier sinx/x products related to random NRZ data, which do not cause any phase shift and can be filtered with a zerogroup- delay filter that does not modify the demodulation performance.1 The PSD of all sinx/x products filtered in Fig. 5(a) is plotted in Fig. 5(b). The continuous spectrum is lowered to about -35 dB and the detected result remains constant as shown in Fig. 5(c). When Bessel products are present, the relationship between the phase angle and the Bessel sidebands is 2J1 = sin and if the relationship is kept for Fourier products, then the detected result will become degraded, with the Fourier sideband lowering, although the actual result is not degraded Fig. 5(c)>. So the Fourier sideband line spectrum does not have a relationship to the detected phase angle. Figure 5(d) is the PSD of all the Fourier products filtered out, with the continuous spectrum is lowered to -60 dB; the detected performance is not affected.
The bandwidth of a zero-groupdelay filter is only about 2 to 3 kHz as presented in earlier work.1 In such a narrowband filter, only J0 is passed after the UNB signal is filtered, with no added group delay. The signal can be demodulated with single carrier J0 extracted.2-4 However, digital modulation schemes also contain a discrete spectrum and a continuous spectrum.5,6 The discrete products can be removed without affecting the detected information, but the modulation information resides in the continuous spectrum. A modulated waveform can only be demodulated when adhering to the principles of Nyquist theory. In reality, the signal bandwidth cannot be compressed to a single spectral line, J0. The PSD for VMSK modulation can be shown as6
SEE EQ. 1
and the energy of the continuous spectrum can be represented by
SEE EQ. 2
with the energy given by
SEE EQ. 3
The continuous spectrum represents the difference of two waveforms. The VMSK continuous spectrum energy is only 1/(2N + 1) that of BPSK, but the VMSK bandwidth is 2N + 1 times the bandwidth of BPSK (Fig. 6). A modulated waveform cannot be demodulated only by the carrier frequency, J0.
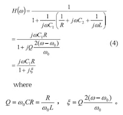
Figure 7 show the equivalent circuit for a zero-group-delay filter.1 The transfer function for the filter is
The output of the filter is
and using the phasor vector representation method, v1 = V?
where θ is the original phase,
where
H( ω) = ω C1R/(1 + ξ 2)0.5
v2 has a leading phase, φ (ω) =Π /2 - arctanξ ,then V1. It is possible to write K(ω ) = VH(ω), then the output signal is
on the resonance point, K(ω 0) = K, which is constant, and φ (ω0 ) =Π /2, the output is
and the signal is passed without any loss at an expected phase of 90 deg. This verifies the zero-group-delay characteristics at the resonant point.4 When the signal is fully passed, the filter shows high-pass characteristics.
Continue to page 2
Page Title
When the signal is offset from the resonant point, K( ω') = K(ω0 Δω ) < K(ω0 ) = K. The farther from the resonant point, the less for the value of K(ω ') so the output magnitude is attenuated gradually. The additional phase shift, ω φ( ') approaches zero or 180 deg. The output offset resonant point is
For white noise, only the portion of white noise around the resonant point passes through the filter with minimal loss while the remainder is attenuated. As a result, white noise is attenuated by a zero-group-delay filter.
Figure 8(a) shows the magnitude frequency response, with a 3-dB bandwidth of only about 2 to 3 kHz. For a data rate of 270 kb/s, the bandwidth efficiency can be expected to be 100 b/s/Hz. Figure 8(b) shows the noise characteristics. Figure 9 is the pulsed response, with zero group delay. Figure 10 shows the group-delay characteristics.
According to the literature,7 the SNR can be written as:
SNR = sin2β (C/N) or
SNR = sin2β (bit rate/filter bandwidth)Eb/N0
= sin2β (1/1)EbN0 (if the bit rate
= the filter bandwidth)
rather than SNR = β2(C/N),
where
Eb/N0 = the ratio of the single cycle energy to the noise power and
SNR = sin2 (Eb/N0)
When β = 90 deg., there is no degradation in SNR. When the phase angle is reduced, there is a loss in SNR. To maintain a given BER, the value of Eb/N0 must be increased.
In a UNB modulation scheme, the system channel capacitor (C) can be obtained by multiplying the number of information samples per second by the information per sample. It can be defined as
C = (1/τ )log2n
Using different terms, the classic form of Shannon's equation can be expressed as
Rb = Wlog2
where
W = 1/τ (the sampling rate);
C/N = (the bit rate)/(filter bandwidth)(Eb/N0);
Rb = (1/τ)log2b/N0)>;
sin2 = the modulation loss (that reduces the value of Eb).
Therefore,
The least modulation unit is a single carrier cycle, so the bit rate should be B. For BT = 1, the sampling rate, fs, should equal fc, and the noise bandwidth is fs/2. So,
When there is no phase loss, the highest spectrum efficiency is 2 baud/ Hz. The bandwidth spectral efficiency cannot be higher than 2 baud/Hz. The modulation information for UNB exists in the single carrier cycle, so the BER is
Pe = 0.5erfc(2sin2β Eb/N0)0.5
For modern digital modulation formats, all modulation information is contained in the sidebands, and VMSK is no exception. VMSK uses proper bandwidth coding to make the signal bandwidth compact, but it does not violate Nyquist theory and the signal cannot be compressed to a single line spectrum. Single-sideband (SSB) modulation can be used as a UNB modulation format, since there are no Bessel products and only the carrier frequency with no frequency modulation. The continuous spectrum represents the difference of the signal wave and is the place where the modulation information is contained. So the signal cannot be detected except by the single carrier or SSB line spectrum and it must adhere to Nyquist signal bandwidth. Therefore, SSB modulation efficiency cannot be higher than 2 baud/Hz if computed according to Nyquist theory. The 3-dB bandwidth is only about 2 to 3 kHz for a zerogroup- delay filter. The bandwidth efficiency will be much higher, and can reach 100 b/s/ Hz. In order to validate the effectiveness of UNB modulation formats, the bandwidth efficiency should be determined experimentally.
Several experiments were performed to verify the efficiency of various UNB modulation formats. Random data coded using VMSK, then a Fast Fourier Transform (FFT) was performed on modulated signals and then the narrow bandwidth around the carrier was cut off and an inverse FFT (IFFT) performed on that section of spectrum (Fig. 13). The waveform marked rhombus is the original and the waveform marked asterisk is the filtered waveform, with very little difference between the two. No filtering was performed on the modulated signal, so the group delay is zero, while any information extracted from the demodulated signal has left it similar to a sinewave. UNB modulation information does not exist in the line spectra and the signal frequency, J0, does not include phase shift information. As a result, it is clear that modulation information cannot be compressed into a single frequency spectrum line.
Assuming that modulation information can be compressed into a single spectral line, for consideration of multicarrier systems, this would allow different carriers to be close to each other. UNB is the PSD with carrier frequency J0 and UNB2 is the PSD with carrier frequency J'0. If J0 and J'0 are very closely spaced, then it should be possible to demodulate both without an increase in SNR. But since information is lost through filtering, a high initial SNR is required, verifying that the information bandwidth cannot be compressed into a single carrier. The signal bandwidth must adhere to Nyquist theory otherwise any loss in modulation will result in an increase in SNR, according to Shannon's limitation.
See Figure 12
REFERENCES
1. H. R. Walker, "Understanding Ultra Narrow Band Modulation," Microwaves & RF, December 1997, pp. 173-186.
2. H. R. Walker, United States Patent No. 6,445,737, "Digital Modulation Device in a System and Method of Using the Same" (covers 3PRK and MCM).
3. J. Pliatsikas, C. Koukourlis, J. Sahalos, and H. R. Walker, "VMSK Modulation Boasts Wireless Communications Efficiencies," Wireless Systems Design, January 1998.
4. H. R. Walker, Ultra Narrow Band Modulation Textbook, 2008, Internet: www.vmsk.org.
5. Mischa Schwartz, Information Transmission, Modulation, and Noise, McGraw-Hill, New York.
6. Shikai Zhang, "Bandwidth Efficiency Analysis of UNB Modulation Schemes," The 4th International Conference on Wireless Communications, Networking, and Mobile Computing, Vol. 1, Oct. 12-17, 2008, pp. 415-419.
7. Kamil Feher, Wireless Digital Communications, Prentice- Hall, Englewood Cliffs, NJ.

