Conformal Network Feeds Compact Helical Antenna
Yuannan Mo, Zhenya Lei, Tingwei Xu, Dan Xi, and Peige Ren
Global positioning system (GPS) receivers require antennas capable of hemispherical radiation patterns with uniform circular polarization across the bandwidth. An attractive candidate for this application is the printed quadrifilar helical antenna (PQHA). It is low cost with light weight and operates with circular polarization for excellent hemispherical coverage. Although PQHA designs have traditionally been limited in bandwidth, the novel approach presented here employs a conformal feed network to maintain small size while increasing the overall impedance bandwidth to more than 39 percent.
The bandwidth of a conventional PQHA operating under resonant modes, typically about 5 to 8 percent, can be inadequate for many applications.1-3 Various techniques have been proposed for increasing the impedance bandwidth of a PQHA, including changing the radiating element4,5 or improving the feed network for a larger axial ratio bandwidth.6-8 But a broad ground plane is needed to support the feed network in these designs. Work reported in ref. 9 showed a PQHA with conformal feed network in a small package size with bandwidth reaching 10 percent (at a VSWR of less than 1.30:1), although the axial ratio was not mentioned in that report. A PQHA design detailed in ref. 10 implied operation to Ku-band frequencies, with an impedance bandwidth of 10 percent (S11 of less than -10 dB), although the axial ratio also was not mentioned.
The current work involved a novel broadband cone printed quadrifilar helical antenna with a new type of feed network. Three T-shaped microstrip lines are used in the feeding network to ensure that the excitation amplitudes at the four helical arms are equal, with a 90 phase differential throughout the whole bandwidth. This design approach reduces the size of the antenna while improving the impedance bandwidth and axial-ratio bandwidth compared to the PQHAs reported in refs. 9 and 10. This new antenna is capable of an impedance bandwidth of 39.4 percent for S11 less than -10 dB with a 3-dB axial-ratio bandwidth of about 22 percent. Measured results for the new antenna agree closely with computer-aided simulations.
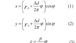
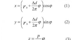
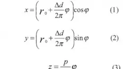
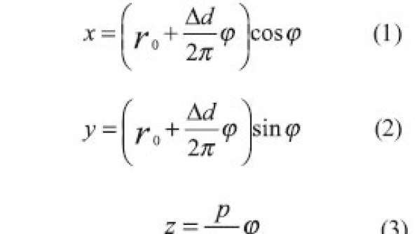
Figure 1 shows the unwrapped antenna arms for the PQHA. A drawing function for generating the conical helical arms is available in the High-Frequency Structure Simulator (HFSS) electromagnetic (EM) simulation software from Ansoft, using the following parameters for the conical helix: initial radius, r0, radius change per turn, pitch distance, p, number of turns, N, and length of the arm, L. One of the helical arms, starting from the +x axis in the x-o-y plane, can be described by Eqs. 1-48:
The four conical-shaped helical arms can be unwrapped and printed on a thin dielectric substrate, which can be wrapped around a cone support. The unwrapped planar arm positions and the parameter R1, R2, can also be determined from Eq. 5.
The parameters for a PQHA designed for an operating frequency of 1.575 GHz are shown in the table. Three T-shaped microstrip lines were used in the PQHA's feed network. It is imperative to match the antenna to a 50-Ω transmission line to minimize signal loss; this can be achieved by using a quarter-wave matching transformer between the feed line and the feed point of the helix arm. The transmission line model of the feeding network is shown in Fig. 2.
The feed network can be analyzed by means of transmission-line theory. The impedance of the four helical arms is 50 Ω, while the electrical lengths of the nominally lossless transmission lines range from θ1 to θ6. The ABCD matrix of the lossless transmission lines can be described by Eq. 6. The input impedance of the reference plane A-A' is given by Eq. 7. Similarly, the input impedances of the reference planes B-B', C-C', and D-D' are given by Eq. 8.
The input impedance of the reference plane E-E' is found by Eq. 9.
The input impedance of the reference plane F-F' is found by Eq. 10.
The input impedance of the reference plane G-G' and H-H' can be deduced from Eqs. 11 and 12. The input impedance of the reference plane I-I' is given by Eqs. 13 and 14:
The four conical-shaped helical arms of the PQHA are fed with signals of equal amplitude. By changing the electrical length of the microstrip lines, a 90 phase differential for the four conical-shaped helical arms can be achieved for implementing circular polarization. Figure 3 shows the planar structure of the feed network, using microstrip of length W = 179 mm and height H = 20 mm.
Figure 4 shows a three-dimensional (3D) HFSS model of the PQHA, the feed network, and the four helical arms, which are printed on opposite surfaces of a flexible dielectric substrate with relative dielectric constant (er of 3.4 and thickness, h, of 0.16 mm. The transmission lines of opposite surfaces are connected by means of plated metal viaholes. Figure 5 shows the PQHA's return loss, from 1.25 to 1.87 GHz, with S11 of less than -10 dB. Good agreement was found between the measured and simulated results for a bandwidth of 39.4 percent for S11 less than -10 dB, with 3-dB axial-ratio bandwidth from 1.30 to 1.65 GHz.
Figure 6 shows the PQHA's radiation pattern and axial ratio at 1.575 GHz. The antenna, which exhibits good circular polarization, has a beamwidth that can reach 150 with an axial ratio of less than 3 dB and cross polarization of less than -17 dB. Figure 7 shows two measured radiation patterns at 1.35 and 1.65 GHz. The half-power beamwidths are large, at 140 and 160, respectively. The maximum gains are 1.3, 2.0, and 0.9 dB as well as -1.8, -0.3, and -1.4 dB at elevation angle of 15 at 1.35, 1.575, and 1.65 GHz, respectively. The variation in gain on the upper hemispherical surface is less than 3.5 dB, implying that satellite signals from all directions will be received effectively. Because the gain of the antenna declines sharply at low elevation angles, noise close to the ground will be suppressed.
The new feed network contributes to the small size of this novel PQHA. The antenna was fabricated (Fig. 8) and found to deliver quality right-hand circular polarization with a large beamwidth. Its compact footprint and excellent performance make it a candidate for GPS and mobile communications applications.
Acknowledgment
This work was supported by the National Natural Science Foundation of China (Grant No.60771040).
References
1. J. C. Louvigne and A. Sharaiha, "Broadband tapered printed quadrifilar helical antenna," Elect. Lett., Vol. 37, No. 15, 2001, pp. 932-933.
2. A. Chapari, A., Z. H. Firouzeh, R. Moini, S. H. H. Sadeghi, "A low weight S-band quadrifilar helical antenna for satellite communication," 2009 13th International Symp. on Antenna Technology and Applied Electromagnetics and the Canadian Radio Science Meeting (ANTEM/URSI 2009), pp. 1-3.
3. M. Sekelja, Z. Blazevic, and M. Maslac, "Helical antennaperformanceinwidebandcommunications," 2008 16th International Conference on Software, Telecommunications and Computer Networks (SoftCOM 2008), 2008, pp. 21-26.
4. J. C. Louvigne, A. Sharaiha, and D. Thouroude, "Broadband compact printed quadrifilar helical antenna for balloon campaign applications," Elect. Lett., Vol. 38, No. 17, 2002, pp. 944-945.
5. Y. Letestu and A. Sharaiha, "Broadband folded printed quadrifilar helical antenna," IEEE Transactions on Antennas & Propagation, Vol. 54, No. 5, 2006, pp. 1600-1604.
6. S.-W. Yang, H. T. Soon, Y. B. Gan, C. W. See, and Shiwen Yang, "Broadband conical printed quadrifilar helical antenna with integrated feed network," Microwave & Optical Technology Letters, Vol. 35, No. 6, 2002, pp. 491-493.
7. Y. K. Chen and K. L. Wong, "Low-profile broadband printed quadrifilar helical antenna for broadcasting satellite application," Microwave Opt. Technol. Lett., Vol. 36, No. 2, 2003, pp. 134-136.
8. M. Caillet, A. Sharaiha, M. Clenet, and Y. M. M. Antar, "Characteristics of a broadband printed quadrifilar helical antenna employing a novel compact feeding circuit," Third European Conference on Antennas and Propagation (EuCAP 2009), 2009, pp. 23712375.
9. A. Sharaiha, C. Terret, and J. P. Blot, "Printed quadrifilar resonant helix antenna with integrated feeding network," Electronics Letters, Vol. 33, No. 4, 1997, pp. 256-257.
10. Y. Letestu and A. Sharaiha, "Ku-band printed quadrifilar helical antenna with integrated feeding network," Microwave & Optical Technology Letters, Vol. 40, No. 3, 2004, pp. 219-221.

