A Job Well-Done
Congratulations on your article dealing with microwave materials ("Microwave Materials Help Build An Industry," March 2008, p. 98). It has come to my mind those past times, trying myself to go beyond gigahertz with FR-4 materials. I really enjoy reading your articles. All are the product of an experienced engineer in MW and RF.
With my best regards,
Julio del Olmo
Hello Julio,
Thank you very much for your kind note. It is people like yourself who make this job worthwhile, knowing that I have been able to help you in some small way.
Best regards,
Jack Browne
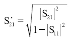
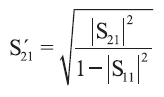
Clarification On Equation
In the March 2008 issue, equation 1 in "Design An Integrated Oscillator/ Antenna" on p. 66 was incorrect. We apologize for any confusion this may have caused. The correct version of equation 1 appears below:
Wrong Web Address Listed
I am writing on behalf of Tyco Telecommunications to thank you for including the Unity project in your article titled, "Rugged Cables And Connectors Can Take Abuse" (April 2008, p. 33). I also wanted to let you know that the website address provided in the article for Tyco Telecom is incorrect. The correct address is http://www.tycotelecom.com/. Thanks so much for your attention to this matter.
Christina Beavers
Christina, thank you very much for bringing this oversight to our attention. We apologize for the error and thank you for correcting it both for us and our readership.
