Modeling PA Behavior And Memory Effects, Part 1
Chokri Jebali, Ghalid Idir Abib, Eric Bergault, and Ali Gharsallah
Digital wireless communications systems offer numerous advantages over their analog predecessors, including improved services and security.1-4
But these digital systems also place greater demands on analog components in the system, including the power amplifiers (PAs) because of the complexity of the digitally modulated waveforms.5 To achieve the required levels of PA performance in terms of power, linearity, and efficiency, effective behavioral models are needed that include all the distortion-generating mechanisms within the amplifier as well as their memory effects. What follows is the first installment of a two-part article on a proposed behavioral model that accurately represents PAs processing signals in digital wireless communications systems.
In general, any amplifier driven into nonlinear operation will generate amplitude and phase distortion.6 These effects are characterized by amplitude-modulation-to-amplitudemodulation (AM-to-AM) conversion and amplitude-modulation-to-phasemodulation (AM-to-PM) conversion (AM-PM). These parameters represent variations in amplitude and phase transfer characteristics of a PA as it nears compression.7 Under these nonlinear conditions, an amplifier takes on a stepped-type output response, with each step corresponding to a higher order of distortion.8 The steps are known as spectral-regrowth sidebands or adjacent channel power (ACP).9 Intermodulation distortion (IMD), or spectral regrowth mainly impact adjacent channel interference.10 In fact, transmitter PA linearity is often specified in terms of demodulation error rates, rather than adjacent-channel spectral regrowth (ACSR).11
The modulation format can often influence the design of a nonlinear PA. The p/4 differential quadrature phaseshift- keying (DQPSK) format is commonly used in North American Digital Cellular system (NADC) systems. It offers a compromise between the high channel capacity and low envelope amplitude variation, but differs from other modulation formats on its effect on amplifier distortion. Of course, literature sources note that a common envelope approach can be used to estimate distortion in PAs used for different modulation formats.12,13 Mobile communications systems employ different types of modulation, including quadrature amplitude modulation (QAM) and 16-state QAM (16QAM). Linear modulation formats require linear amplification. The major reason for employing a linear scheme (i.e., narrow channel bandwidth) is to enhance spectrum efficiency. Some systems require the use of multiple channels simultaneously, using high-power devices such as traveling-wave-tube amplifiers (TWTAs) to support the channel bandwidths and power levels needed.14 Multicarrier transmitters use multiple narrowband carriers to transmit high-bit-rate data without an equalizer, typically with orthogonal- frequency-division-multiplex (OFDM) modulation.1
Nonlinear behavioral models for PAs driving wideband-code-divisionmultiple- access (WCDMA) signals generally lack in accuracy compared to traditional linear device and amplifier models. Improvements have been made with recent nonlinear models based on Volterra series expressions.4 But amplifier memory effects are not included in these newer nonlinear models. To create a more accurate PA behavioral model for nonlinear situations, models must combine Vector Volterra models and memory polynomial models with sparse delay (MPMSD) to include memory effects as part of accurately predicting the power amplifier's behavior.15 To improve upon the shortcomings of current nonlinear PA models, a test bed will be developed to study the effects of input versus output data on an amplifier model. The behavioral polynomial nonlinear PA model will be characterized when canceling the time delay to reach predistortion while taking into account memory effects for linearization.
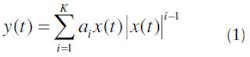
The Volterra series is used as a general model for PA behavior. It requires a large number of basis functions. In the new model, special cases of Volterra series were applied.10 These were the envelope memory polynomial model, the conventional memory polynomial model, and the orthogonal memory polynomial model.11 The model was based on PA measurements using QPSK test signals.
The mathematical formulation of the conventional polynomial model is given by:
and Eq. 2, where
x(n) = the input measurement,
y(n) = the output measurement,
k = the polynomial order,
M = the memory depth, and
aij = the polynomial coefficients.
When the complex gain of the device under test (DUT) is a function of the magnitude of the input signal, the envelope memory polynomial model can be described by Eq. 3.
The orthogonal memory polynomial model uses a set of basis functions to significantly improve identification accuracy by reducing the conditioning of the matrix to be inverted in the least-squares identification. The orthogonal model's output is:
where Uij is given by Eq. 5. The identification of the polynomial coefficients is given by the least-squares (LS) method in transforming the equations to matrix form. For the memory polynomial model (MPM), empirical (MPM) (EMPM), and orthogonal memoryless polynomial model (OMPM) approaches, it is possible to define a formulation as Eq. 6, where the basis function of the orthogonal model is given by Eqs. 7 and 8:
In the orthogonal polynomial model, the basis function φ is referred by ? in the whole of the expressions as
where φH is the Hermitian transpose.
In Eq. 14, memory effects introduced by thermal conditions, aging, and the presence of wideband signals:
where
k = the polynomial order,
Q = the memory depth order, and
aij = the polynomial coefficient.
Continue to page 2
Page Title
The MPM, EMPM, and OMPM models were developed for a DUT operating with QPSK signals. The nonlinearity orders and memory depth were set to K = 15 and Q = 4, respectively. Reference 11 gives the matrix forms of the OMPM and MPM. Figure 1 shows the function
versus |x|. The figure maintains that if x ? 0, the basis function φk(x) of the conventional polynomial tends toward zero faster than x for an order k greater than 1.
The basis function φk(x) can be expressed by means of:
where constant a satisfies the conditions, 0
It was possible to apply the behavioral polynomial models with more accuracy after comparing their performance with measured output data for a DUT. For a quantitative measure of a polynomial model's accuracy, the normalized mean square error (NMSE) function was used to assess the performance of the models. The NMSE is given by:
where
N = the number of samples in the measured waveforms,
y = the measured DUT output waveforms, and
= the estimated DUT output waveforms.
A variety of techniques are cited in literature to estimate the delays between input and output waveforms through a PA. Here, a cross-covariance method was applied7:
The covariance is described in Eq. 12,
where
x(k) = the input baseband waveforms,
y(k) = the output baseband waveforms,
x = the mean value of the input (x) waveforms,
y = the mean value of the output (y) waveforms,
x+(k) = the complex conjugate of the sample x(k),
y+(k) = the complex conjugate of the sample y(k), and
K = the number of waveform samples.
Parameter n (nmax) is the value of the integer for which Cxy(n) is maximal, with the optimal delay expressed in number of samples is:
where
r = the up-sampling ratio and
fs = the original sampling frequency.
The time delay between the input and output data waveforms must be accurately estimated. Any delay misalignment will translate into added dispersion of AM/AM and AM/PM characteristics for a PA and its model. The time delay accuracy depends mainly on the sampling rate, fs. For example, if the sampling rate is more than 60 MSamples/s, the time resolution will be around 16 ns. For practical purposes, the resolution should be greater than the time resolution induced by the PA. If the sampling rate, which depends on the speed of the analog-to-digital converter (ADC), cannot accurately estimate the time delay, it should be increased. An alternative solution is to use digital-signal- processing (DSP) techniques. In the current work, the Lagrange interpolation7 was used to increase the sampling rate by a factor of 20 to 30; as a result, a satisfactory timedelay estimation was achieved with higher resolution.
Polynomial PA models with and without memory effects will now be compared. Figures 2 and 3 show a block diagram and photograph of the measurement system used to evaluate the DUT. It includes signal generators that support a variety of modulation schemes. The measurement data are extracted from a model FLL107ME GaAs MESFET from Fujitsu in which the static characteristics of the drain current versus the drain source voltage for different source grille voltage values are taken from ref. 6. The baseband test bed employs a model ESG 4431B signal generator from Agilent Technologies, which provides a QPSK signal with 1 MSamples/s symbol rate and 1.575-GHz center frequency. For optimum impedance matching, an impedance tuner was inserted at the device output port with reflection coefficient equal to 0.4. The rolloff factor used in this measurement bed for the baseband digital Nyquist filter is 0.35. The impedance at the second and third harmonic frequencies for the DUT were matched to 50 O using a bandpass filter and wideband circulator. The polarization point corresponds to Class AB operation for the DUT. Table 1 presents the S-parameters and polarization point for the MESFET in this study.
The PA characteristics were analyzed using QPSK modulation with a square-root cosine filter with rolloff factor of 0.35 at the transmitter. In previous efforts, basis function implementations with a DUT would generate an error when a low input value was forced to zero due to limits of quantization. The memory-less and memory polynomial models of Eqs. 1 and 14, respectively, suffer instability problems associated with the basis function F. Figure 4 shows this instability by plotting the condition number of the square matrix FH x F for two cases, for the memory-less and memory conventional polynomial models, with order of memory depth equal to Q = 4 and order of nonlinearity, K = 15. The condition number grows exponentially as soon as the polynomial order and the delay tap increases for 3000 samples (Fig. 4).
The results indicate that the memory polynomial models provided comparable performance in the time and frequency domains. The models were compared for the same DUT with QPSK signals; the power series model and orthogonal memory model use the same nonlinearity order and memory depth. The models have the same number of coefficients and the same number of basis functions due to their similar formulation.
The coefficient estimations of the models using input/output sample data led to numerical instability of the pseudo-inverse calculations. Results are inaccurate when finite precision calculations are needed. To avoid high condition values, a centering algorithm and data scaling were applied, with resulting new input data dependent upon the mean value and standard deviation of the input signal:
where
Σx = the standard deviation and
x = the mean value of the input waveform. To improve the conditioning of the pseudomatrix for the orthogonal polynomial models, input signal normalization was used:
Next month, the conclusion of this two-part article will reveal the results of measurements performed on a commercial MESFET device ftom Fujitsu as a means of validating the modeled behavior presented by these different modeling approaches. A comparison will be made of the orthogonal and conventional models with complex modulated waveforms to demonstrate how memory effects can impact the accuracy of different amplifier models, especially under nonlinear conditions.
Continue to page 3
Page Title
REFERENCES
1. P. B. Kenington,High Linearity RF Amplifier Design, Artech House, Norwood, MA, 2000.
2. S. M. McBeath, D. T. Pinckley, and J. R. Cruz, "WCDMA power amplifier modelling," 54th Vehicular Technology Conference (VTC), 2001 pp. 2243-2247.
3. D. Giesber, S. Mann, and K. Eccleston, "Adaptive Digital Predistortion Linearization for RFPower Amplifiers," Proceedings of the 13th Electronics New Zealand Conference, November, 2006.
4. A. Zhu, T. J. Brazil, "An Overview of Volterra Series Based Behavioral Modeling of RF/Microwave Power Amplifiers," Wireless and Microwave Technology Conference, December 2006.
5. S. J. Orfanidis, Optimum Signal Processing: An introduction, 2nd Ed., Prentice-Hall, Upper Saddle River, NJ, 1996. 6. E. Bergeault, O. Gibrat, S. Bensmida, and B. Huyart," Multiharmonic source-pull/load-pull active setup based on six-port reflectometers: Influence of the second harmonic source impedance on RF performances of power transistors," IEEE Transactions on Microwave Theory & Techniques, Vol. 52, No. 4, April 2004, pp. 1118-1124.
7. J. P. Aikio and T. Rahkonen, "A comprehensive analysis of AM/AM and AM/PM conversion in an LDMOS RF power amplifier," IEEE Transactions on Microwave Theory & Techniques, Vol. 57, No. 2, February 2009, pp. 262-270.
8. D. J. Williams, J. Leckey, and P.J. Tasker, "Envelope domain analysis of measured time domain voltage and current waveforms provide for improved understanding of factors effecting linearity," IEEE MTT-S International Microwave Symposium Digest, June 2003, pp. 1411- 1414.
9. S. Y. Lee, Y. S. Lee, S. H. Hong, H. S. Choi, and Y. H. Jeong, "An adaptive predistortion RF power amplifier with a spectrum monitor for multicarrier WCDMA applications," IEEE Transactions on Microwave Theory & Techniques, Vol. 53, No. 2, February 2005, pp. 786-793.
10. L. Ding, G. T. Zhou, D. R. Morgan, Z. Ma, J. S. Kenney, J. Kim, and C. R. Giardina, "A robust digital baseband predistorter constructed using memory polynomials," IEEE Transactions on Communications, Vol. 52, No. 1, June 2004, pp. 159-165.
11. Raich, R., Q. Hua, and G.T. Zhou, "Orthogonal polynomials for power amplifier modeling and predistorter design," IEEE Transactions on Vehicular Technology, 2004, pp. 1468-1479.
12. C. Fager, J. C. Pedro, N. B. De carvalho, and H. Zirath,"Prediction of IMD in LDMOS transistor amplifiers using a new large signal model," IEEE Transactions on Microwave Theory & Techniques, Vol. 50, No. 12, December 2002, pp. 2834-2842.
13. Y. S. Jeon, J. Cha, and S. Nam, "High efficiency power amplifier using novel dynamic bias switching," IEEE Transactions on Microwave Theory & Techniques, Vol. 55, No. 4, April 2007, pp. 690-696.
14. S. L. Miller and R. J. O'Dea, "Peak power and bandwidth efficient linear modulation," IEEE Transactions on Communications, Vol. 46, No. 12, December 1998, pp 1639-1648.
15. S. Mahil, and A. B. Sesay, "Rational function based predistorter for traveling wave tube amplifiers," IEEE Transactions On Broadcast, Vol. 51, No. 1, March 2005.
16. C.Peng, W. Jiang, Y. Ni, J. Wang, X. Yu, B. Xing, and X. Zhu, "Modeling of nonlinear power amplifier with memory effects applied for 3G system," Asia-Pacific Microwave Conference Proceedings., December 2005.
17. S. Bensmida, E. Bergeault, G. I. Abib, and B. Huyart, "Power amplifier characterization: An active load-pull system based on six port," IEEE Transactions on Microwave Theory & Techniques, Vol. 54, No. 6, June 2006, pp. 2707-2712.
